Pb2S2
MatHub2d-1854-Pb2S2
| Property |
Value |
| Space group |
(129, 'P4/nmm') |
| Crystal system |
square |
| Magnetic |
No |
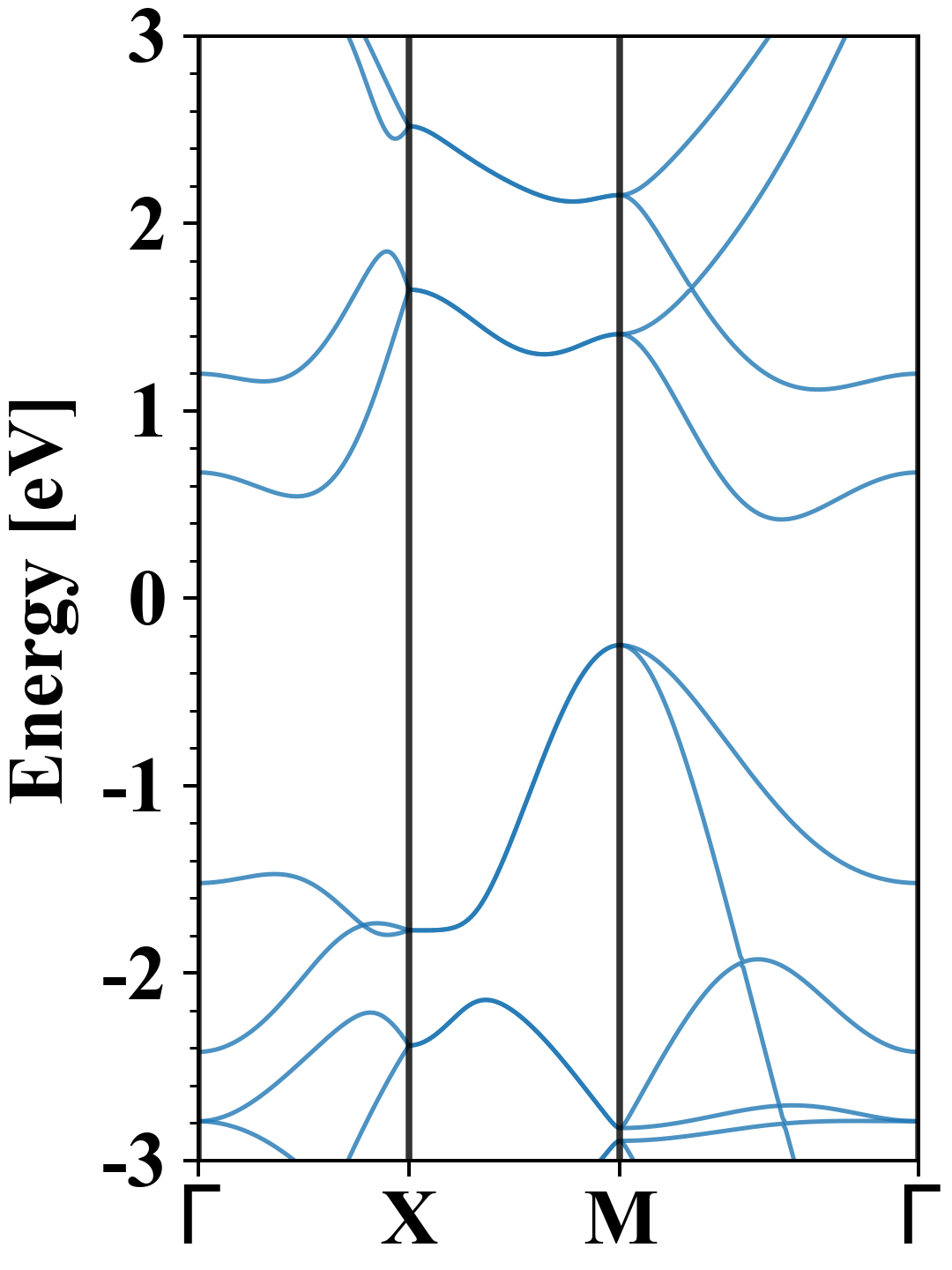
| Band gap (PBE) (eV) |
0.67 |
| Free energy (eV) |
-16.231 |
| Free energy / atom (eV) |
-4.058 |
Lattice Parameters (basic)
| a, b, c (Å): | 5.409 | 5.409 | 30.000 |
| α, β, γ (°): | 90.000 | 90.000 | 90.000 |
Lattice Parameters (computed)
| a, b, c (Å): | 5.417 | 5.417 | 30.000 |
| α, β, γ (°): | 90.000 | 90.000 | 90.000 |
| Property |
Value |
| Band gap |
0.67 eV |
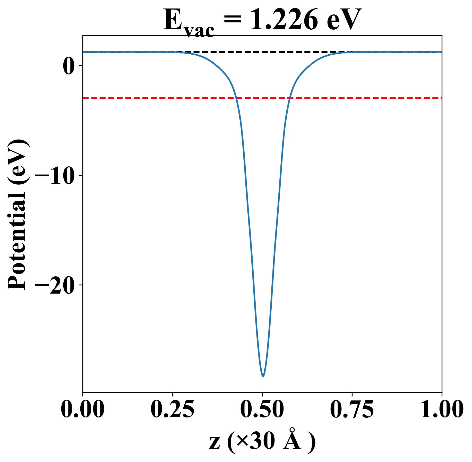
| E-fermi |
-2.989 eV |
| Vacuum level |
1.226 eV |
| VBM |
-3.239 eV |
| CBM |
-2.569 eV |
| Work function |
4.214 eV |
| Direct gap |
No |
| Property |
Value |
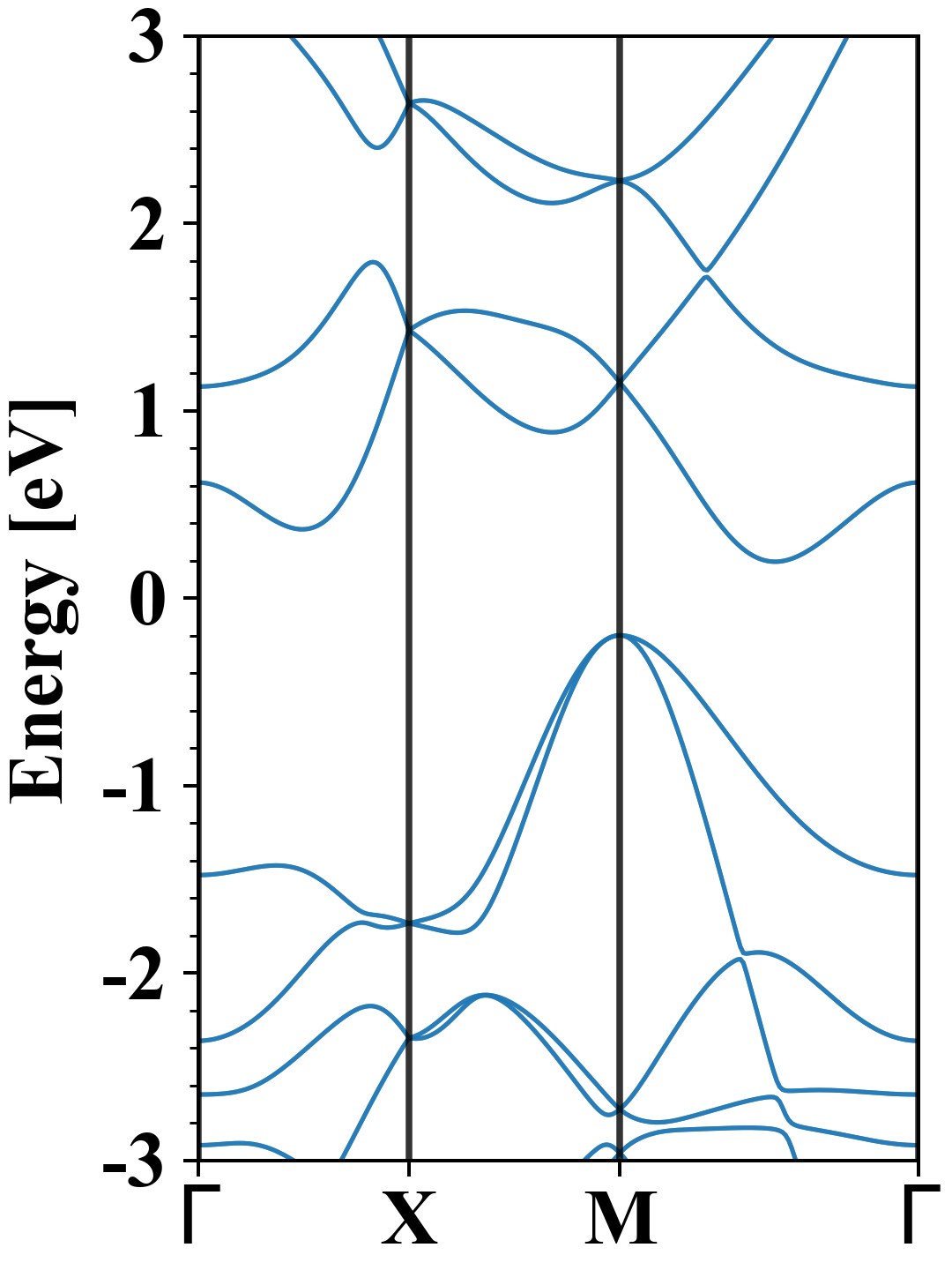
| Band gap |
0.39 eV |
| E-fermi |
-3.059 eV |
| VBM |
-3.258 eV |
| CBM |
-2.865 eV |
| Free energy (eV) |
-17.040 |
| Free energy / atom (eV) |
-4.260 |
| Property |
Value |
| Band gap |
0.67 eV |
| E-fermi |
-2.989 eV |
| Vacuum level |
1.226 eV |
| VBM |
-3.239 eV |
| CBM |
-2.569 eV |
| Work function |
4.214 eV |
| Cij (N/m) |
xx |
yy |
xy |
| xx |
-0.069 |
23.739 |
0.000 |
| yy |
23.739 |
-0.069 |
0.000 |
| xy |
0.000 |
0.000 |
9.731 |
| Phonon mode at Γ point (THz) |
| -1.227 |
| -1.227 |
| -0.008 |
| -0.008 |
| -0.008 |
| 1.267 |
| 1.992 |
| 1.992 |
| 2.937 |
| 2.937 |
| 3.885 |
| 3.903 |
| Property |
Value |
| from where |
c2db-790 |