Bi1S1
MatHub2d-1731-Bi1S1
| Property |
Value |
| Space group |
(123, 'P4/mmm') |
| Crystal system |
square |
| Magnetic |
Yes |
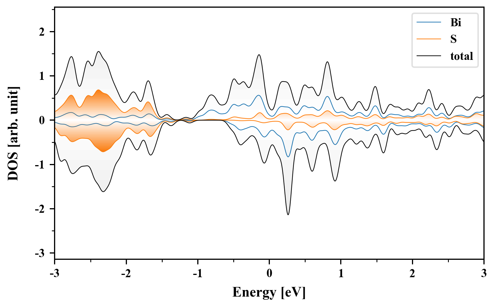
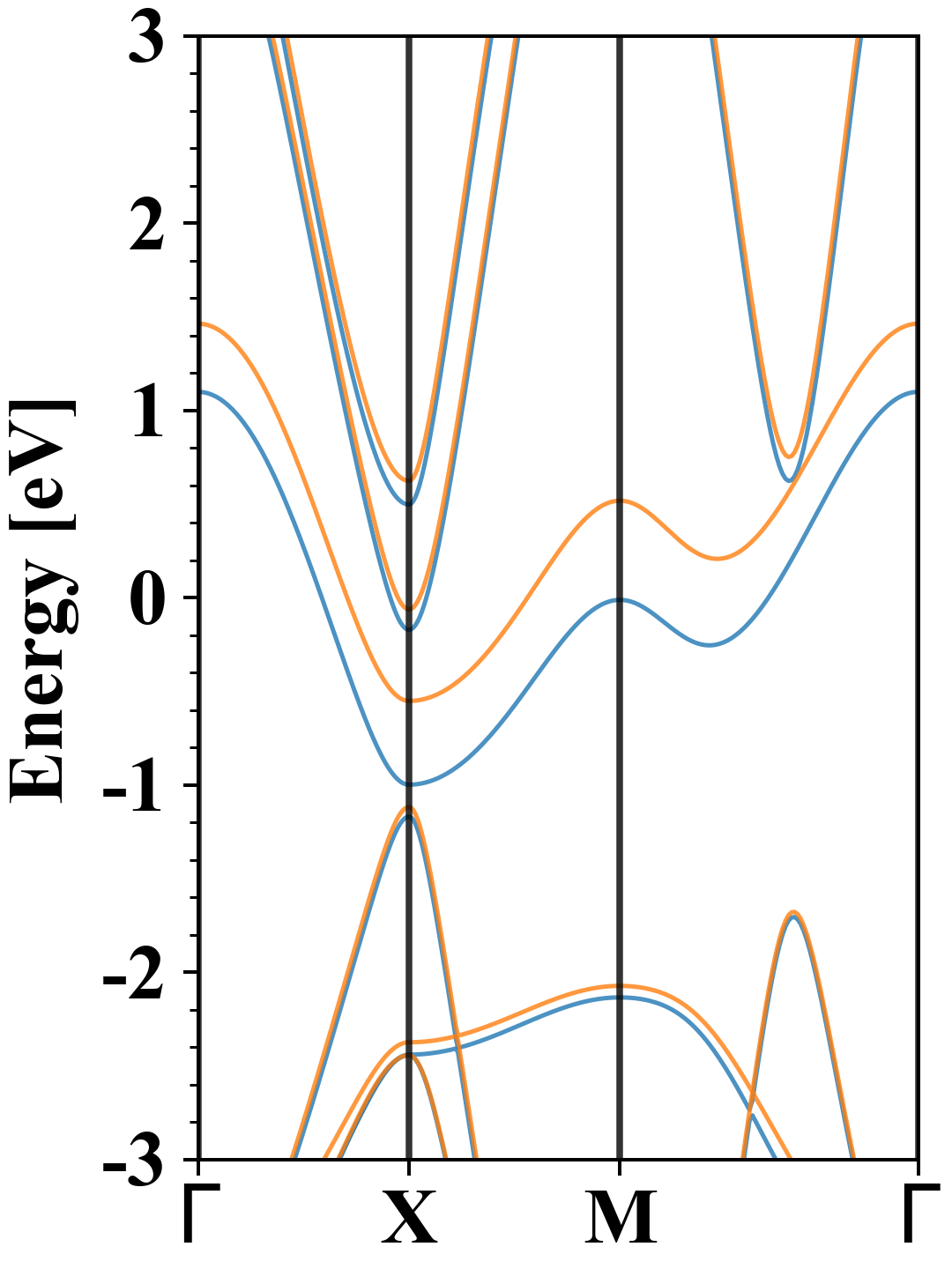
| Band gap (PBE) (eV) |
0.00 |
| Free energy (eV) |
-7.701 |
| Free energy / atom (eV) |
-3.850 |
Lattice Parameters (basic)
| a, b, c (Å): | 3.939 | 3.939 | 30.000 |
| α, β, γ (°): | 90.000 | 90.000 | 90.000 |
Lattice Parameters (computed)
| a, b, c (Å): | 3.945 | 3.945 | 30.000 |
| α, β, γ (°): | 90.000 | 90.000 | 90.000 |
| Property |
Value |
| Band gap |
0.00 eV |
| E-fermi |
-3.246 eV |
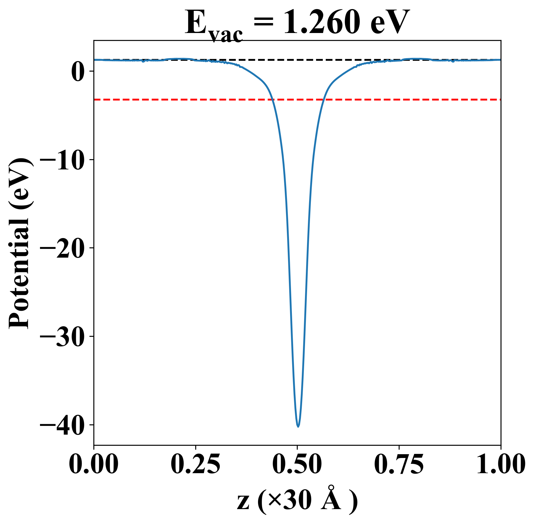
| Vacuum level |
1.260 eV |
| VBM |
-3.247 eV |
| CBM |
-3.244 eV |
| Work function |
4.505 eV |
| Direct gap |
No |
| Property |
Value |
| Band gap |
0.00 eV |
| E-fermi |
-3.246 eV |
| Vacuum level |
1.260 eV |
| VBM |
-3.247 eV |
| CBM |
-3.244 eV |
| Work function |
4.505 eV |
| Cij (N/m) |
xx |
yy |
xy |
| xx |
47.798 |
37.052 |
-0.000 |
| yy |
37.052 |
47.798 |
0.000 |
| xy |
-0.000 |
0.000 |
22.940 |
| Phonon mode at Γ point (THz) |
| -1.287 |
| -1.287 |
| -0.907 |
| 0.019 |
| 0.019 |
| 0.065 |
| Property |
Value |
| from where |
c2db-1481 |