S6V2
MatHub2d-1695-S6V2
| Property |
Value |
| Space group |
(59, 'Pmmn') |
| Crystal system |
rectangular |
| Magnetic |
Yes |
| Band gap (PBE) (eV) |
0.34 |
| Free energy (eV) |
-42.782 |
| Free energy / atom (eV) |
-5.348 |
Lattice Parameters (basic)
| a, b, c (Å): | 3.243 | 4.878 | 30.000 |
| α, β, γ (°): | 90.000 | 90.000 | 90.000 |
Lattice Parameters (computed)
| a, b, c (Å): | 3.445 | 4.918 | 30.000 |
| α, β, γ (°): | 90.000 | 90.000 | 90.000 |
| Property |
Value |
| Band gap |
0.34 eV |
| E-fermi |
-1.907 eV |
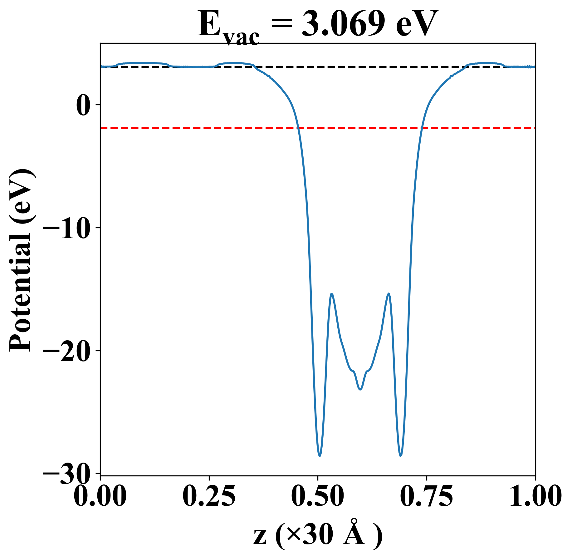
| Vacuum level |
3.069 eV |
| VBM |
-2.078 eV |
| CBM |
-1.738 eV |
| Work function |
4.976 eV |
| Direct gap |
No |
| Property |
Value |
| Band gap |
0.34 eV |
| E-fermi |
-1.931 eV |
| VBM |
-2.102 eV |
| CBM |
-1.763 eV |
| Free energy (eV) |
-42.798 |
| Free energy / atom (eV) |
-5.350 |
| Property |
Value |
| Band gap |
0.34 eV |
| E-fermi |
-1.907 eV |
| Vacuum level |
3.069 eV |
| VBM |
-2.078 eV |
| CBM |
-1.738 eV |
| Work function |
4.976 eV |
| Cij (N/m) |
xx |
yy |
xy |
| xx |
93.854 |
12.988 |
0.000 |
| yy |
12.988 |
90.238 |
0.000 |
| xy |
0.000 |
0.000 |
33.176 |
| Phonon mode at Γ point (THz) |
| -0.010 |
| -0.007 |
| -0.006 |
| 1.710 |
| 2.426 |
| 2.862 |
| 3.287 |
| 3.412 |
| 3.503 |
| 4.617 |
| 5.412 |
| 6.062 |
| 7.008 |
| 8.066 |
| 8.209 |
| 8.454 |
| 8.712 |
| 9.148 |
| 9.246 |
| 10.139 |
| 10.497 |
| 10.957 |
| 15.958 |
| 16.020 |
| Property |
Value |
| from where |
c2db-1803 |