Mo2O6
MatHub2d-1619-Mo2O6
| Property |
Value |
| Space group |
(11, 'P2_1/m') |
| Crystal system |
rectangular |
| Magnetic |
No |
| Band gap (PBE) (eV) |
1.76 |
| Free energy (eV) |
-61.536 |
| Free energy / atom (eV) |
-7.692 |
Lattice Parameters (basic)
| a, b, c (Å): | 3.894 | 3.697 | 30.000 |
| α, β, γ (°): | 90.000 | 90.000 | 90.000 |
Lattice Parameters (computed)
| a, b, c (Å): | 3.901 | 3.715 | 30.000 |
| α, β, γ (°): | 90.000 | 90.000 | 90.000 |
| Property |
Value |
| Band gap |
1.76 eV |
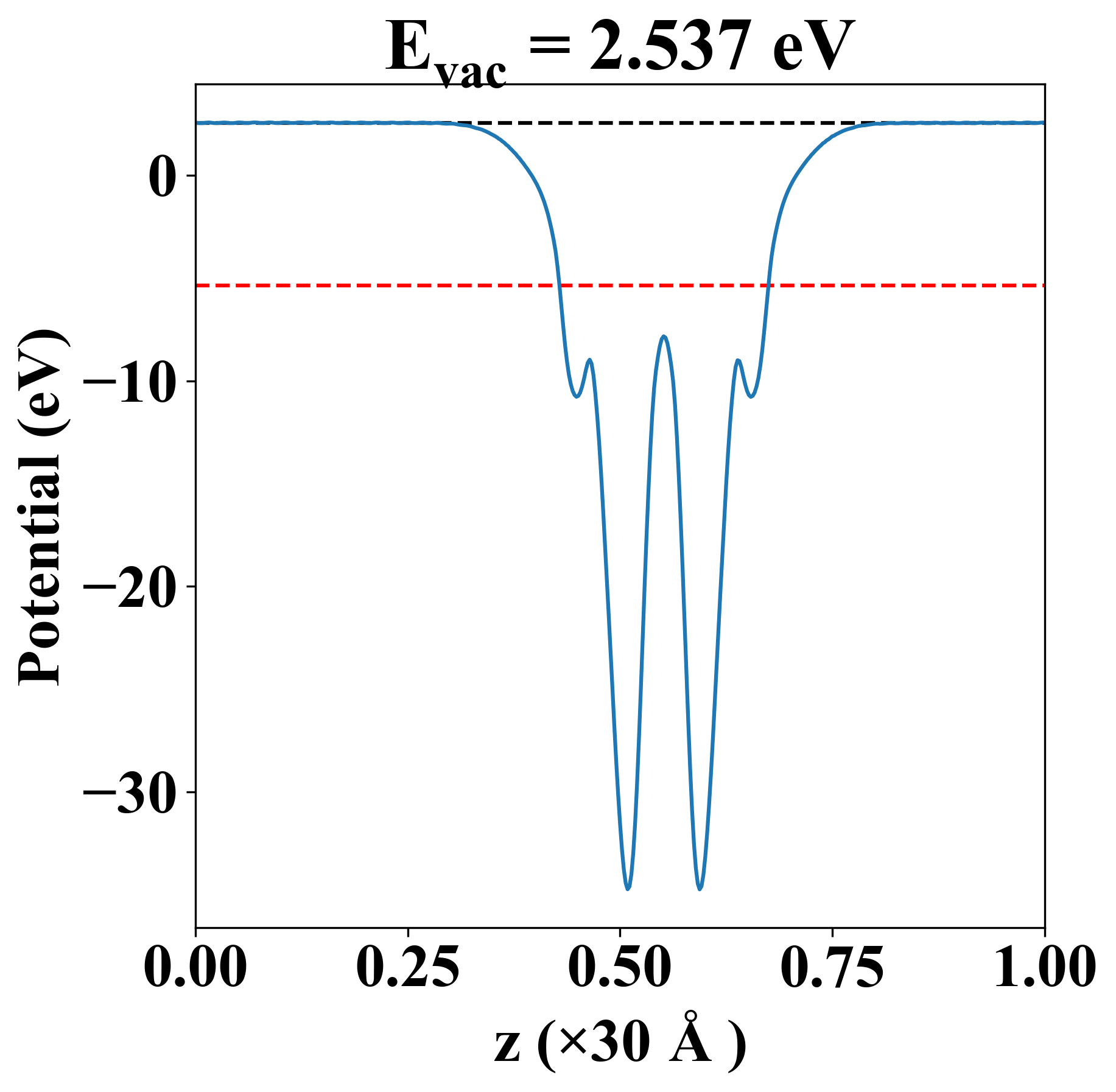
| E-fermi |
-5.377 eV |
| Vacuum level |
2.537 eV |
| VBM |
-5.809 eV |
| CBM |
-4.051 eV |
| Work function |
7.914 eV |
| Direct gap |
No |
| Property |
Value |
| Band gap |
1.76 eV |
| E-fermi |
-5.570 eV |
| VBM |
-5.813 eV |
| CBM |
-4.056 eV |
| Free energy (eV) |
-61.721 |
| Free energy / atom (eV) |
-7.715 |
| Property |
Value |
| Band gap |
1.76 eV |
| E-fermi |
-5.377 eV |
| Vacuum level |
2.537 eV |
| VBM |
-5.809 eV |
| CBM |
-4.051 eV |
| Work function |
7.914 eV |
| Cij (N/m) |
xx |
yy |
xy |
| xx |
96.668 |
21.993 |
0.000 |
| yy |
21.993 |
152.621 |
0.000 |
| xy |
0.000 |
0.000 |
44.045 |
| Phonon mode at Γ point (THz) |
| Property |
Value |
| from where |
JVASP-31368 |