Mn2S6
MatHub2d-1612-Mn2S6
| Property |
Value |
| Space group |
(11, 'P2_1/m') |
| Crystal system |
rectangular |
| Magnetic |
Yes |
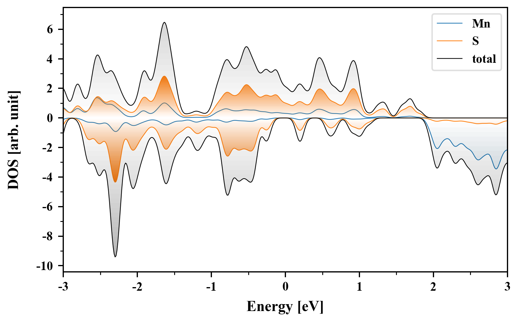
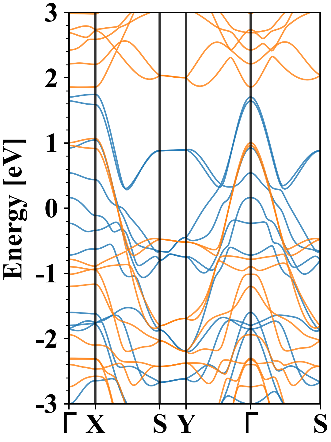
| Band gap (PBE) (eV) |
0.00 |
| Free energy (eV) |
-40.118 |
| Free energy / atom (eV) |
-5.015 |
Lattice Parameters (basic)
| a, b, c (Å): | 6.848 | 3.175 | 30.000 |
| α, β, γ (°): | 90.000 | 90.000 | 90.000 |
Lattice Parameters (computed)
| a, b, c (Å): | 8.033 | 3.277 | 30.000 |
| α, β, γ (°): | 90.000 | 90.000 | 90.000 |
| Property |
Value |
| Band gap |
0.00 eV |
| E-fermi |
-3.531 eV |
| Vacuum level |
1.945 eV |
| VBM |
-3.531 eV |
| CBM |
-3.530 eV |
| Work function |
5.475 eV |
| Direct gap |
No |
| Property |
Value |
| Band gap |
0.00 eV |
| E-fermi |
-3.531 eV |
| Vacuum level |
1.945 eV |
| VBM |
-3.531 eV |
| CBM |
-3.530 eV |
| Work function |
5.475 eV |
| Cij (N/m) |
xx |
yy |
xy |
| xx |
6.540 |
7.939 |
-0.000 |
| yy |
7.939 |
45.555 |
0.000 |
| xy |
-0.000 |
0.000 |
-5.120 |
| Phonon mode at Γ point (THz) |
| -2.747 |
| -1.936 |
| -1.562 |
| -0.510 |
| -0.327 |
| -0.029 |
| -0.005 |
| 0.070 |
| 1.717 |
| 2.633 |
| 2.850 |
| 3.356 |
| 3.673 |
| 3.740 |
| 4.920 |
| 4.945 |
| 5.570 |
| 6.039 |
| 6.148 |
| 6.252 |
| 8.285 |
| 8.845 |
| 17.274 |
| 17.277 |
| Property |
Value |
| from where |
c2db-1748 |