Ir2Se4
MatHub2d-1602-Ir2Se4
| Property |
Value |
| Space group |
(11, 'P2_1/m') |
| Crystal system |
rectangular |
| Magnetic |
|
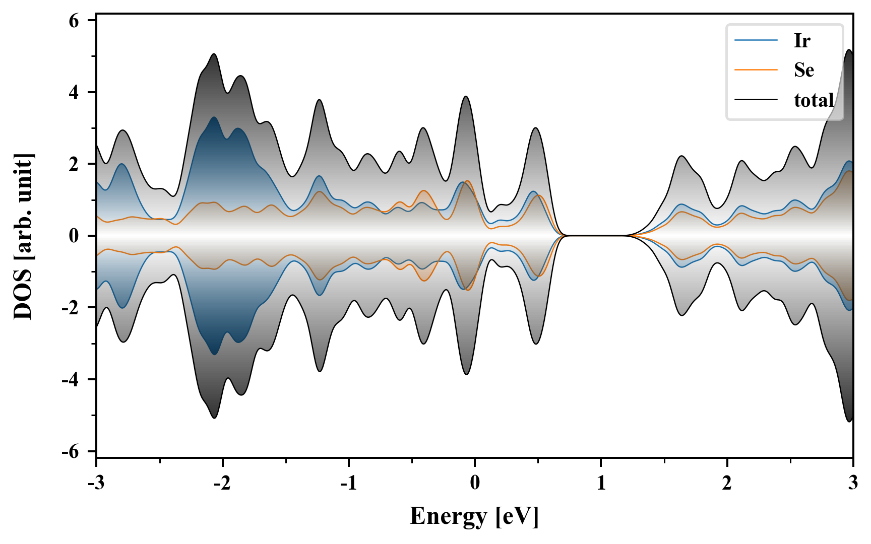
| Band gap (PBE) (eV) |
0.00 |
| Free energy (eV) |
-27.756 |
| Free energy / atom (eV) |
-4.626 |
Lattice Parameters (basic)
| a, b, c (Å): | 6.118 | 3.732 | 30.000 |
| α, β, γ (°): | 90.000 | 90.000 | 90.000 |
Lattice Parameters (computed)
| a, b, c (Å): | 6.032 | 3.705 | 30.000 |
| α, β, γ (°): | 90.000 | 90.000 | 90.000 |
| Property |
Value |
| Band gap |
0.00 eV |
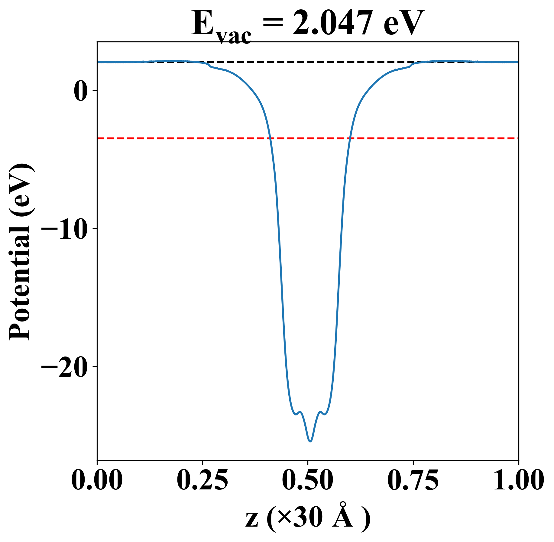
| E-fermi |
-3.463 eV |
| Vacuum level |
2.047 eV |
| VBM |
-3.463 eV |
| CBM |
-3.463 eV |
| Work function |
5.510 eV |
| Direct gap |
No |
| Property |
Value |
| Band gap |
0.00 eV |
| E-fermi |
-3.463 eV |
| Vacuum level |
2.047 eV |
| VBM |
-3.463 eV |
| CBM |
-3.463 eV |
| Work function |
5.510 eV |
| Cij (N/m) |
xx |
yy |
xy |
| xx |
62.477 |
15.813 |
-0.000 |
| yy |
15.813 |
82.367 |
0.000 |
| xy |
-0.000 |
0.000 |
5.303 |
| Phonon mode at Γ point (THz) |
| -2.431 |
| -0.002 |
| -0.001 |
| -0.001 |
| 1.972 |
| 4.208 |
| 4.696 |
| 5.075 |
| 5.085 |
| 5.129 |
| 5.498 |
| 5.726 |
| 5.874 |
| 6.356 |
| 6.452 |
| 6.610 |
| 6.701 |
| 6.704 |
| Property |
Value |
| from where |
c2db-1870 |