I6U2
MatHub2d-1600-I6U2
| Property |
Value |
| Space group |
(59, 'Pmmn') |
| Crystal system |
rectangular |
| Magnetic |
Yes |
| Band gap (PBE) (eV) |
0.05 |
| Free energy (eV) |
-37.971 |
| Free energy / atom (eV) |
-4.746 |
Lattice Parameters (basic)
| a, b, c (Å): | 4.156 | 9.948 | 30.000 |
| α, β, γ (°): | 90.000 | 90.000 | 90.000 |
Lattice Parameters (computed)
| a, b, c (Å): | 4.179 | 10.019 | 30.000 |
| α, β, γ (°): | 90.000 | 90.000 | 90.000 |
| Property |
Value |
| Band gap |
0.05 eV |
| E-fermi |
-1.673 eV |
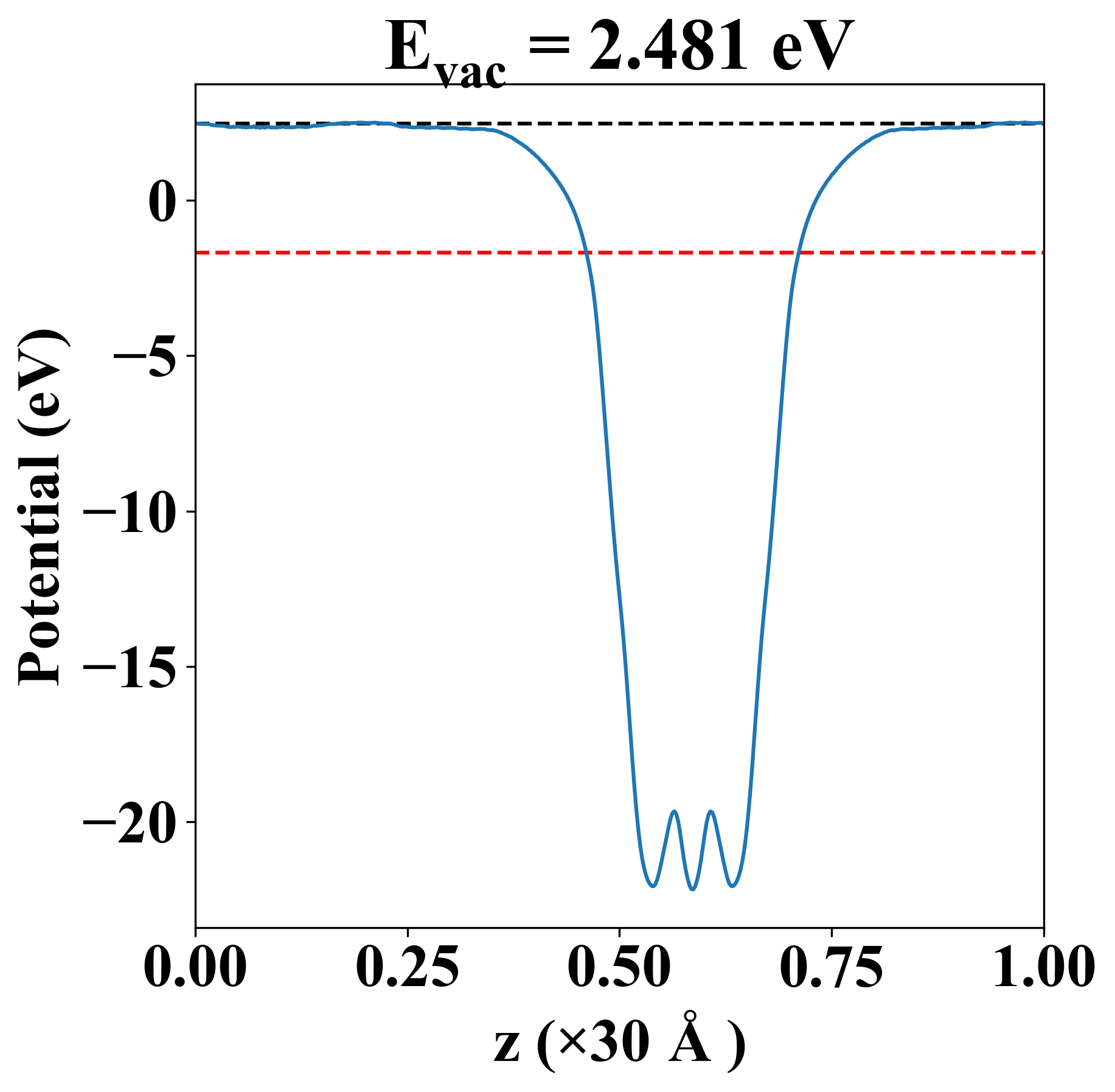
| Vacuum level |
2.481 eV |
| VBM |
-1.710 eV |
| CBM |
-1.655 eV |
| Work function |
4.154 eV |
| Direct gap |
No |
| Property |
Value |
| Band gap |
0.05 eV |
| E-fermi |
-1.673 eV |
| Vacuum level |
2.481 eV |
| VBM |
-1.710 eV |
| CBM |
-1.655 eV |
| Work function |
4.154 eV |
| Cij (N/m) |
xx |
yy |
xy |
| xx |
22.504 |
6.707 |
0.000 |
| yy |
6.707 |
22.225 |
0.000 |
| xy |
0.000 |
0.000 |
13.593 |
| Phonon mode at Γ point (THz) |
| Property |
Value |
| from where |
JVASP-19524 |