I4Zr2
MatHub2d-1599-I4Zr2
| Property |
Value |
| Space group |
(11, 'P2_1/m') |
| Crystal system |
rectangular |
| Magnetic |
No |
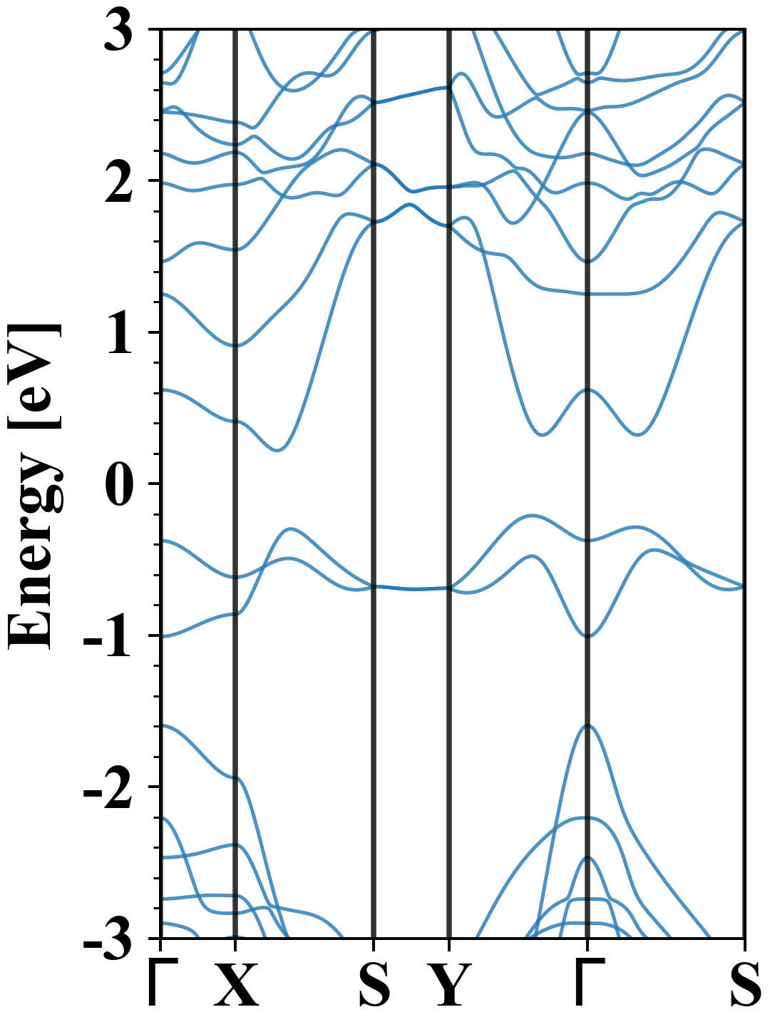
| Band gap (PBE) (eV) |
0.43 |
| Free energy (eV) |
-28.516 |
| Free energy / atom (eV) |
-4.753 |
Lattice Parameters (basic)
| a, b, c (Å): | 6.911 | 3.773 | 30.000 |
| α, β, γ (°): | 90.000 | 90.000 | 90.000 |
Lattice Parameters (computed)
| a, b, c (Å): | 6.899 | 3.758 | 30.000 |
| α, β, γ (°): | 90.000 | 90.000 | 90.000 |
| Property |
Value |
| Band gap |
0.43 eV |
| E-fermi |
-1.303 eV |
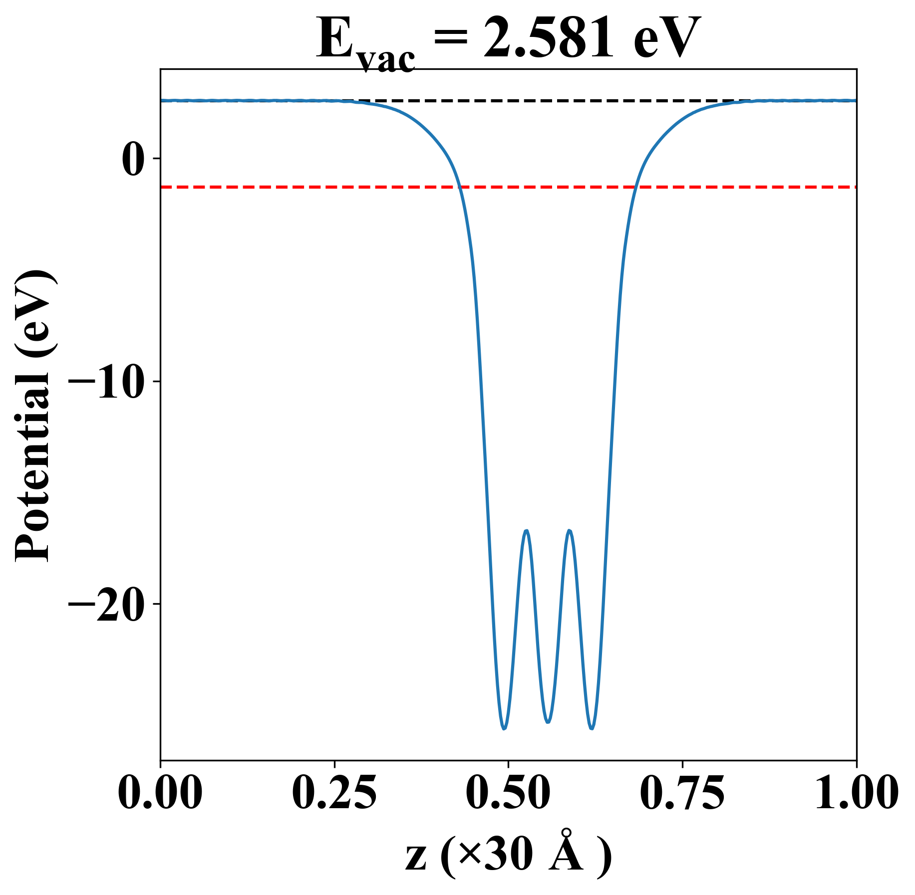
| Vacuum level |
2.581 eV |
| VBM |
-1.514 eV |
| CBM |
-1.085 eV |
| Work function |
3.884 eV |
| Direct gap |
No |
| Property |
Value |
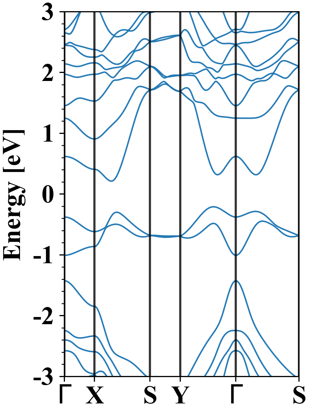
| Band gap |
0.42 eV |
| E-fermi |
-1.304 eV |
| VBM |
-1.514 eV |
| CBM |
-1.092 eV |
| Free energy (eV) |
-29.168 |
| Free energy / atom (eV) |
-4.861 |
| Property |
Value |
| Band gap |
0.43 eV |
| E-fermi |
-1.303 eV |
| Vacuum level |
2.581 eV |
| VBM |
-1.514 eV |
| CBM |
-1.085 eV |
| Work function |
3.884 eV |
| Cij (N/m) |
xx |
yy |
xy |
| xx |
58.874 |
7.695 |
0.000 |
| yy |
7.695 |
60.956 |
-0.000 |
| xy |
0.000 |
-0.000 |
22.584 |
| Phonon mode at Γ point (THz) |
| Property |
Value |
| from where |
c2db-1960 |