I4Y2
MatHub2d-1598-I4Y2
| Property |
Value |
| Space group |
(11, 'P2_1/m') |
| Crystal system |
rectangular |
| Magnetic |
No |
| Band gap (PBE) (eV) |
0.00 |
| Free energy (eV) |
-26.436 |
| Free energy / atom (eV) |
-4.406 |
Lattice Parameters (basic)
| a, b, c (Å): | 7.218 | 4.148 | 30.000 |
| α, β, γ (°): | 90.000 | 90.000 | 90.000 |
Lattice Parameters (computed)
| a, b, c (Å): | 7.161 | 4.162 | 30.000 |
| α, β, γ (°): | 90.000 | 90.000 | 90.000 |
| Property |
Value |
| Band gap |
0.00 eV |
| E-fermi |
-1.232 eV |
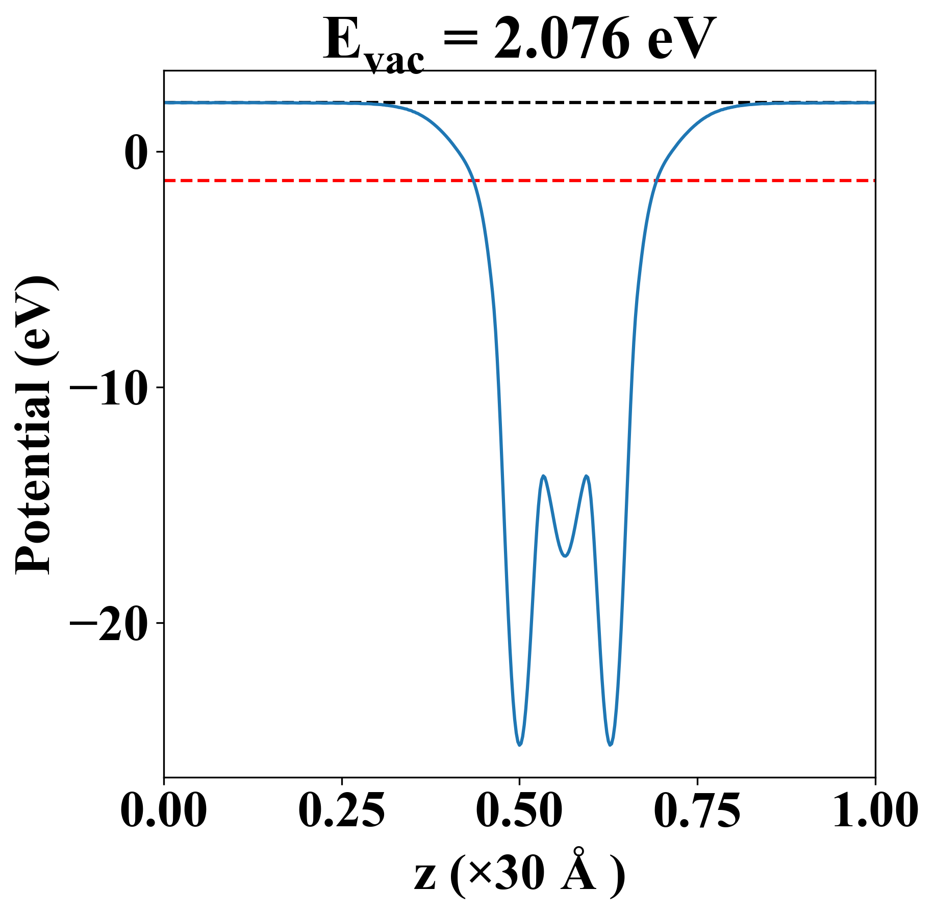
| Vacuum level |
2.076 eV |
| VBM |
-1.232 eV |
| CBM |
-1.231 eV |
| Work function |
3.308 eV |
| Direct gap |
No |
| Property |
Value |
| Band gap |
0.00 eV |
| E-fermi |
-1.232 eV |
| Vacuum level |
2.076 eV |
| VBM |
-1.232 eV |
| CBM |
-1.231 eV |
| Work function |
3.308 eV |
| Cij (N/m) |
xx |
yy |
xy |
| xx |
28.019 |
8.186 |
0.000 |
| yy |
8.186 |
26.749 |
0.000 |
| xy |
0.000 |
0.000 |
8.785 |
| Phonon mode at Γ point (THz) |
| Property |
Value |
| from where |
c2db-1957 |