I4Ta2
MatHub2d-1595-I4Ta2
| Property |
Value |
| Space group |
(11, 'P2_1/m') |
| Crystal system |
rectangular |
| Magnetic |
No |
| Band gap (PBE) (eV) |
0.00 |
| Free energy (eV) |
-27.136 |
| Free energy / atom (eV) |
-4.523 |
Lattice Parameters (basic)
| a, b, c (Å): | 6.529 | 3.746 | 30.000 |
| α, β, γ (°): | 90.000 | 90.000 | 90.000 |
Lattice Parameters (computed)
| a, b, c (Å): | 6.539 | 3.751 | 30.000 |
| α, β, γ (°): | 90.000 | 90.000 | 90.000 |
| Property |
Value |
| Band gap |
0.00 eV |
| E-fermi |
-0.424 eV |
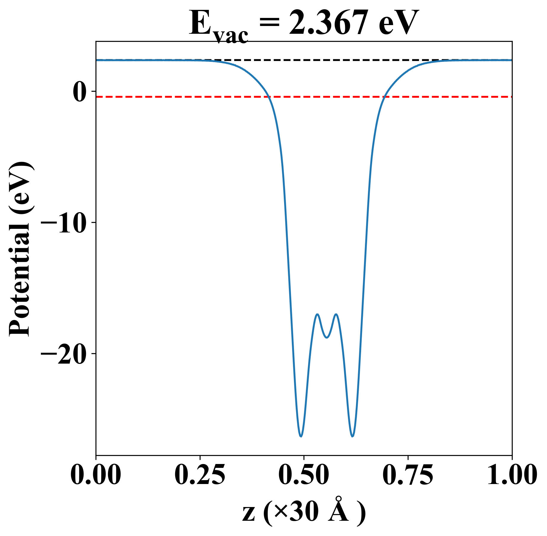
| Vacuum level |
2.367 eV |
| VBM |
-0.424 eV |
| CBM |
-0.423 eV |
| Work function |
2.791 eV |
| Direct gap |
No |
| Property |
Value |
| Band gap |
0.00 eV |
| E-fermi |
-0.424 eV |
| Vacuum level |
2.367 eV |
| VBM |
-0.424 eV |
| CBM |
-0.423 eV |
| Work function |
2.791 eV |
| Cij (N/m) |
xx |
yy |
xy |
| xx |
70.558 |
12.730 |
0.000 |
| yy |
12.730 |
53.400 |
0.000 |
| xy |
0.000 |
0.000 |
17.616 |
| Phonon mode at Γ point (THz) |
| -0.002 |
| -0.001 |
| 0.001 |
| 1.588 |
| 1.734 |
| 2.297 |
| 2.368 |
| 2.489 |
| 2.688 |
| 2.923 |
| 3.409 |
| 3.473 |
| 3.623 |
| 3.808 |
| 4.225 |
| 4.691 |
| 5.068 |
| 5.161 |
| Property |
Value |
| from where |
c2db-1935 |