I4Sc2
MatHub2d-1594-I4Sc2
| Property |
Value |
| Space group |
(11, 'P2_1/m') |
| Crystal system |
rectangular |
| Magnetic |
Yes |
| Band gap (PBE) (eV) |
0.00 |
| Free energy (eV) |
-22.741 |
| Free energy / atom (eV) |
-3.790 |
Lattice Parameters (basic)
| a, b, c (Å): | 7.020 | 4.053 | 30.000 |
| α, β, γ (°): | 90.000 | 90.000 | 90.000 |
Lattice Parameters (computed)
| a, b, c (Å): | 7.280 | 4.210 | 30.000 |
| α, β, γ (°): | 90.000 | 90.000 | 90.000 |
| Property |
Value |
| Band gap |
0.00 eV |
| E-fermi |
-1.294 eV |
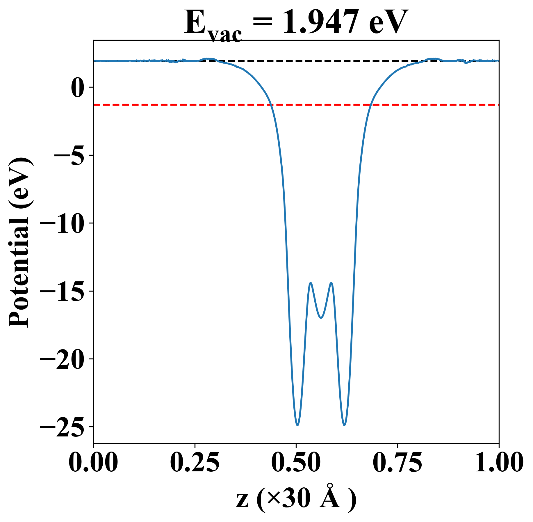
| Vacuum level |
1.947 eV |
| VBM |
-1.294 eV |
| CBM |
-1.292 eV |
| Work function |
3.241 eV |
| Direct gap |
No |
| Property |
Value |
| Band gap |
0.00 eV |
| E-fermi |
-1.294 eV |
| Vacuum level |
1.947 eV |
| VBM |
-1.294 eV |
| CBM |
-1.292 eV |
| Work function |
3.241 eV |
| Cij (N/m) |
xx |
yy |
xy |
| xx |
23.681 |
5.091 |
-0.000 |
| yy |
5.091 |
23.617 |
-0.000 |
| xy |
-0.000 |
-0.000 |
9.111 |
| Phonon mode at Γ point (THz) |
| Property |
Value |
| from where |
c2db-1928 |