I4Re2
MatHub2d-1592-I4Re2
| Property |
Value |
| Space group |
(11, 'P2_1/m') |
| Crystal system |
rectangular |
| Magnetic |
Yes |
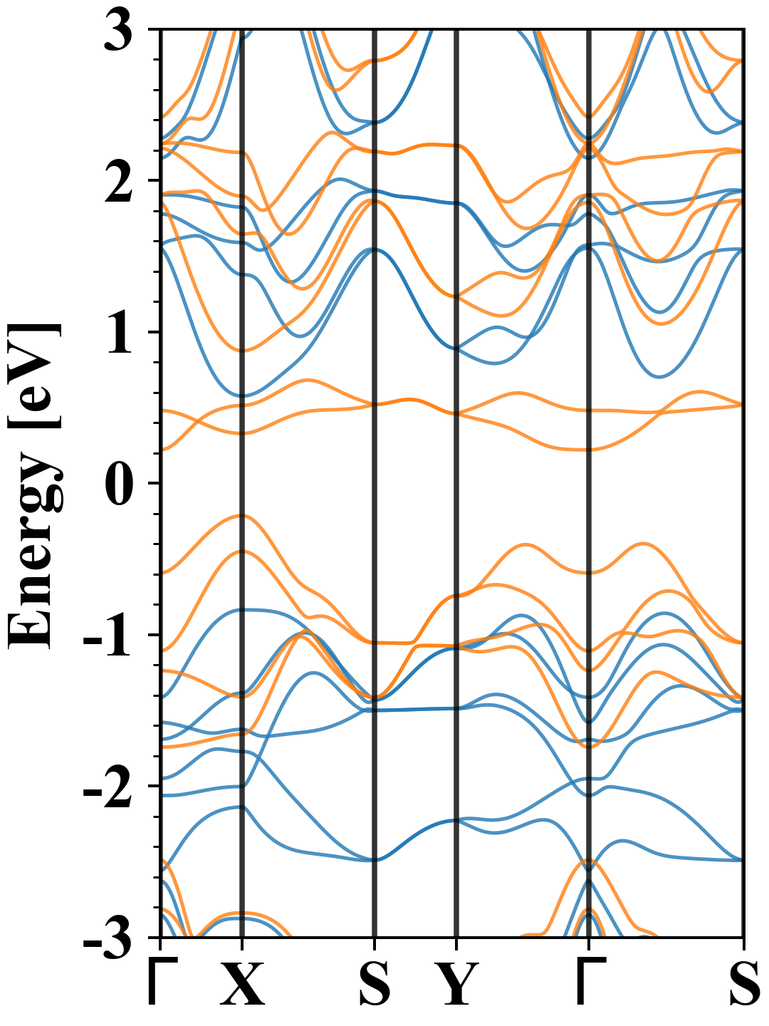
| Band gap (PBE) (eV) |
0.43 |
| Free energy (eV) |
-22.379 |
| Free energy / atom (eV) |
-3.730 |
Lattice Parameters (basic)
| a, b, c (Å): | 6.690 | 4.154 | 30.000 |
| α, β, γ (°): | 90.000 | 90.000 | 90.000 |
Lattice Parameters (computed)
| a, b, c (Å): | 6.674 | 4.149 | 30.000 |
| α, β, γ (°): | 90.000 | 90.000 | 90.000 |
| Property |
Value |
| Band gap |
0.43 eV |
| E-fermi |
-1.449 eV |
| Vacuum level |
2.250 eV |
| VBM |
-1.663 eV |
| CBM |
-1.229 eV |
| Work function |
3.698 eV |
| Direct gap |
No |
| Property |
Value |
| Band gap |
0.43 eV |
| E-fermi |
-1.449 eV |
| Vacuum level |
2.250 eV |
| VBM |
-1.663 eV |
| CBM |
-1.229 eV |
| Work function |
3.698 eV |
| Cij (N/m) |
xx |
yy |
xy |
| xx |
28.129 |
12.617 |
-0.000 |
| yy |
12.617 |
70.166 |
0.000 |
| xy |
-0.000 |
0.000 |
-1.219 |
| Phonon mode at Γ point (THz) |
| -1.545 |
| -0.002 |
| -0.002 |
| 0.001 |
| 1.835 |
| 2.680 |
| 2.975 |
| 3.191 |
| 3.235 |
| 3.328 |
| 3.506 |
| 3.680 |
| 3.855 |
| 4.157 |
| 4.257 |
| 4.329 |
| 4.547 |
| 4.629 |
| Property |
Value |
| from where |
c2db-1908 |