I4Pd2
MatHub2d-1591-I4Pd2
| Property |
Value |
| Space group |
(11, 'P2_1/m') |
| Crystal system |
rectangular |
| Magnetic |
No |
| Band gap (PBE) (eV) |
1.27 |
| Free energy (eV) |
-14.508 |
| Free energy / atom (eV) |
-2.418 |
Lattice Parameters (basic)
| a, b, c (Å): | 9.663 | 3.879 | 30.000 |
| α, β, γ (°): | 90.000 | 90.000 | 90.000 |
Lattice Parameters (computed)
| a, b, c (Å): | 9.665 | 3.839 | 30.000 |
| α, β, γ (°): | 90.000 | 90.000 | 90.000 |
| Property |
Value |
| Band gap |
1.27 eV |
| E-fermi |
-4.081 eV |
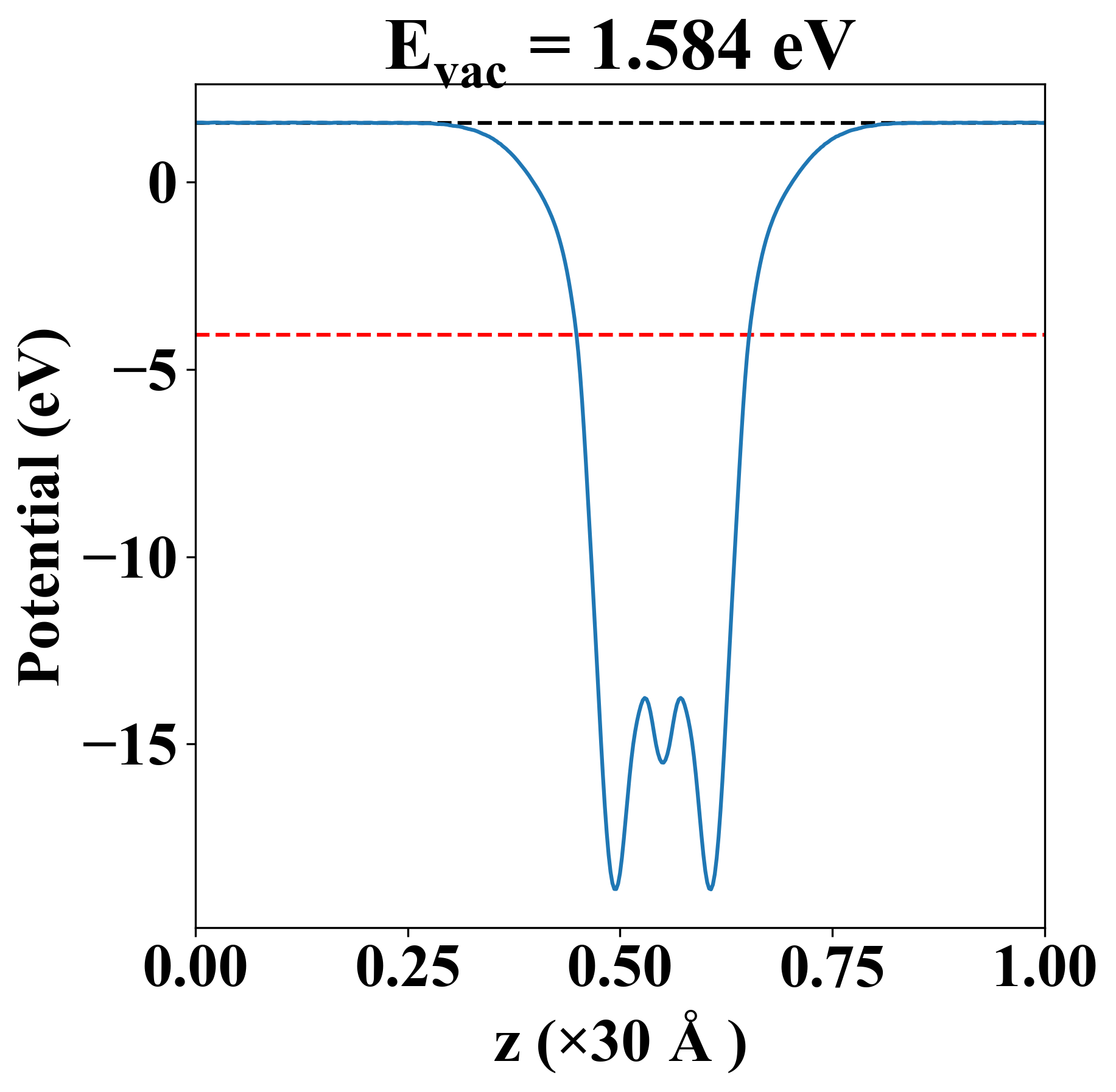
| Vacuum level |
1.584 eV |
| VBM |
-4.317 eV |
| CBM |
-3.046 eV |
| Work function |
5.666 eV |
| Direct gap |
No |
| Property |
Value |
| Band gap |
1.30 eV |
| E-fermi |
-4.020 eV |
| VBM |
-4.301 eV |
| CBM |
-2.998 eV |
| Free energy (eV) |
-15.133 |
| Free energy / atom (eV) |
-2.522 |
| Property |
Value |
| Band gap |
1.27 eV |
| E-fermi |
-4.081 eV |
| Vacuum level |
1.584 eV |
| VBM |
-4.317 eV |
| CBM |
-3.046 eV |
| Work function |
5.666 eV |
| Cij (N/m) |
xx |
yy |
xy |
| xx |
0.629 |
0.182 |
0.000 |
| yy |
0.182 |
40.489 |
-0.000 |
| xy |
0.000 |
-0.000 |
0.105 |
| Phonon mode at Γ point (THz) |
| -0.327 |
| -0.057 |
| -0.002 |
| 0.001 |
| 0.076 |
| 0.127 |
| 0.180 |
| 0.393 |
| 2.390 |
| 2.429 |
| 3.712 |
| 3.718 |
| 4.191 |
| 4.199 |
| 6.269 |
| 6.283 |
| 6.495 |
| 6.499 |
| Property |
Value |
| from where |
c2db-1902 |