I4O2Ta2
MatHub2d-1590-I4O2Ta2
| Property |
Value |
| Space group |
(47, 'Pmmm') |
| Crystal system |
rectangular |
| Magnetic |
No |
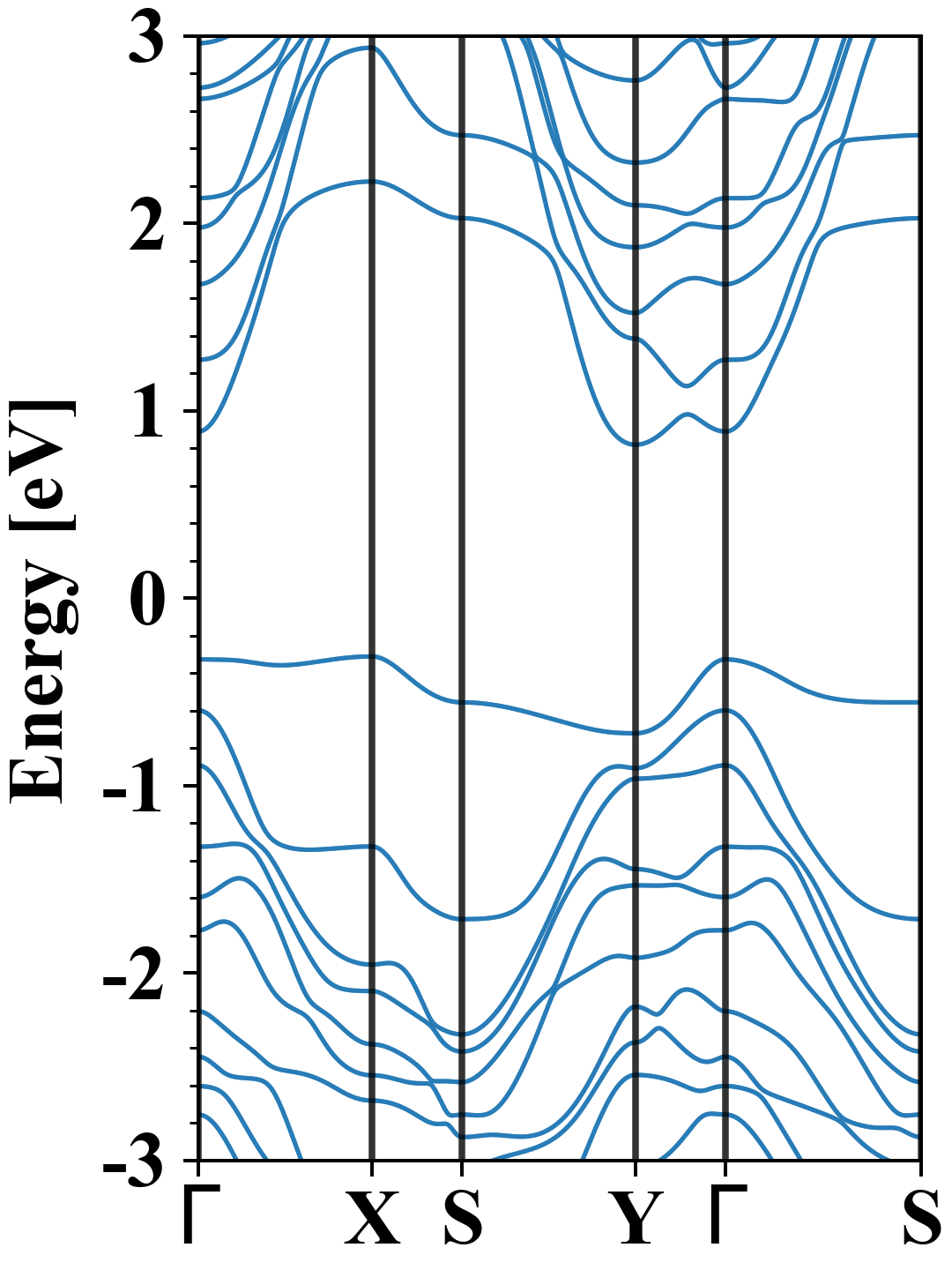
| Band gap (PBE) (eV) |
1.19 |
| Free energy (eV) |
-46.877 |
| Free energy / atom (eV) |
-5.860 |
Lattice Parameters (basic)
| a, b, c (Å): | 3.896 | 7.472 | 30.000 |
| α, β, γ (°): | 90.000 | 90.000 | 90.000 |
Lattice Parameters (computed)
| a, b, c (Å): | 3.919 | 7.540 | 30.000 |
| α, β, γ (°): | 90.000 | 90.000 | 90.000 |
| Property |
Value |
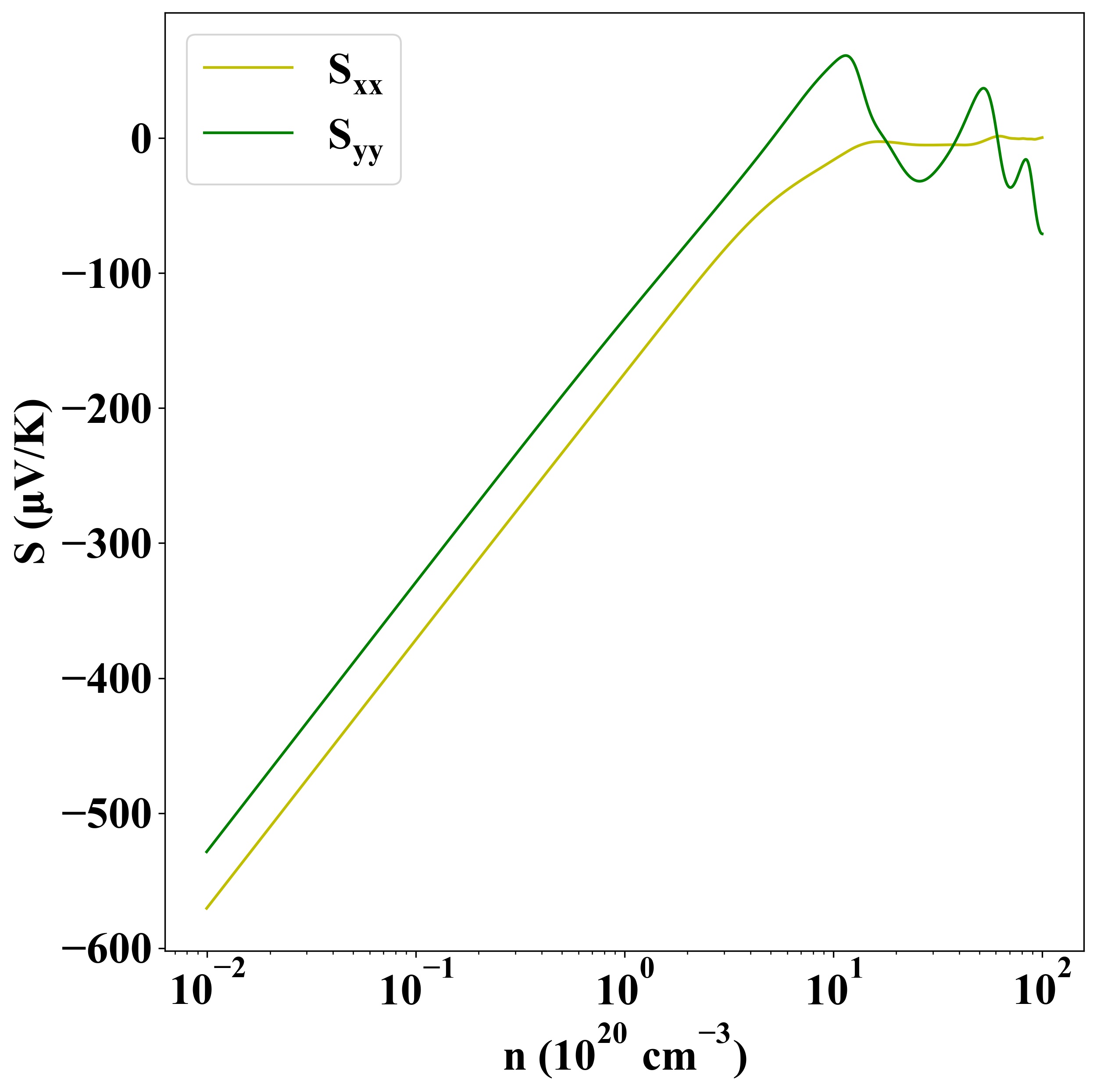
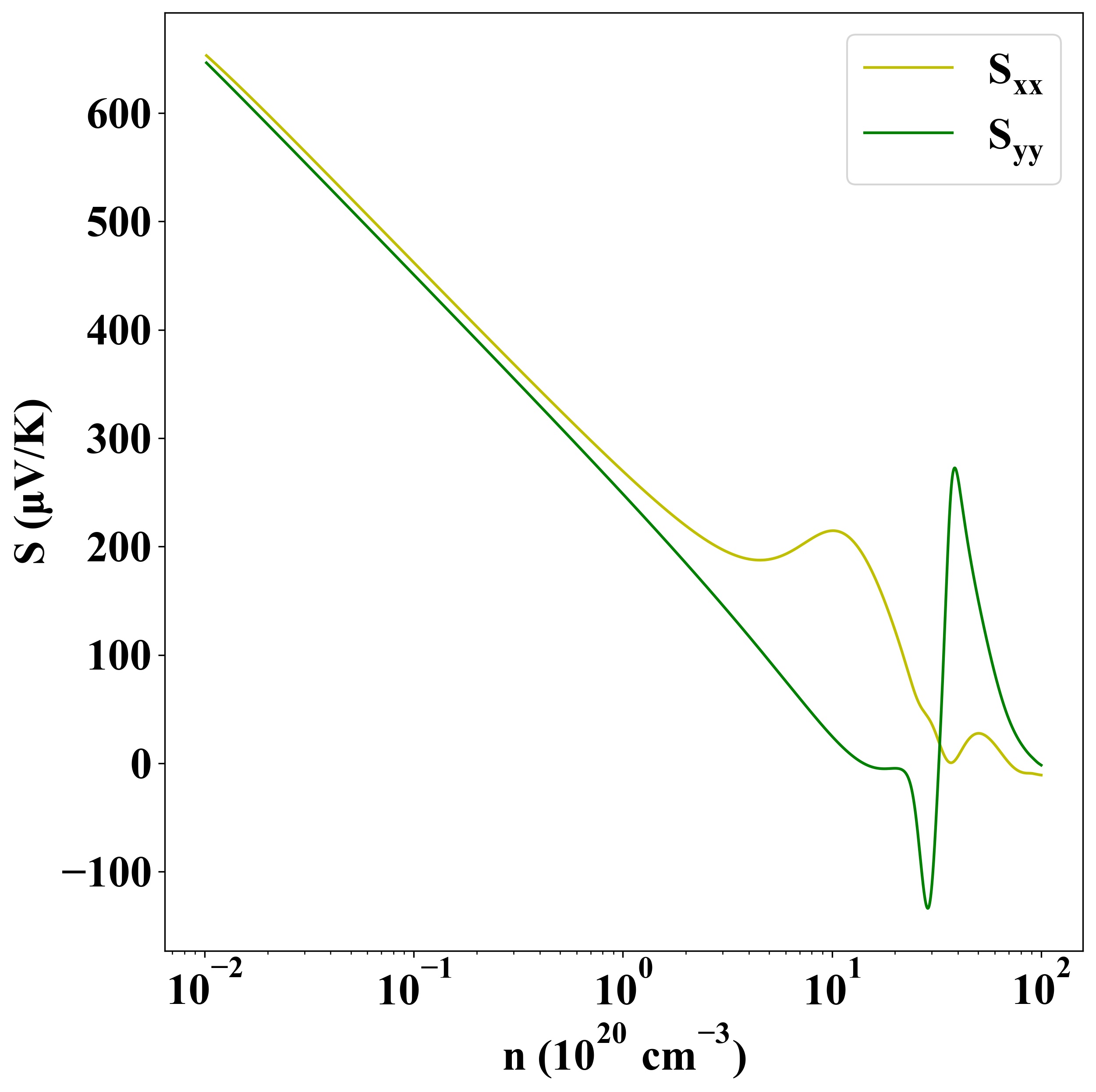
| Band gap |
1.19 eV |
| E-fermi |
-2.691 eV |
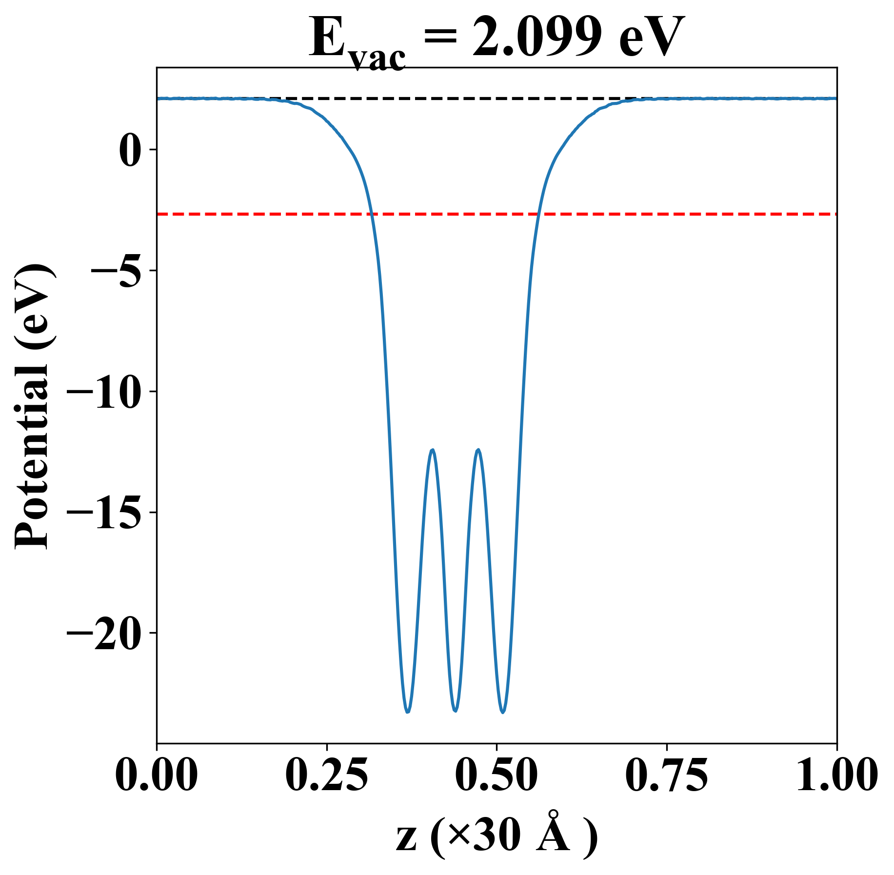
| Vacuum level |
2.099 eV |
| VBM |
-2.938 eV |
| CBM |
-1.747 eV |
| Work function |
4.790 eV |
| Direct gap |
No |
| Property |
Value |
| Band gap |
1.13 eV |
| E-fermi |
-2.587 eV |
| VBM |
-2.898 eV |
| CBM |
-1.769 eV |
| Free energy (eV) |
-48.753 |
| Free energy / atom (eV) |
-6.094 |
| Property |
Value |
| Band gap |
1.19 eV |
| E-fermi |
-2.691 eV |
| Vacuum level |
2.099 eV |
| VBM |
-2.938 eV |
| CBM |
-1.747 eV |
| Work function |
4.790 eV |
| Cij (N/m) |
xx |
yy |
xy |
| xx |
241.429 |
1.925 |
-0.000 |
| yy |
1.925 |
68.570 |
0.000 |
| xy |
-0.000 |
0.000 |
15.836 |
| Phonon mode at Γ point (THz) |
| -0.058 |
| -0.056 |
| -0.022 |
| 1.645 |
| 1.662 |
| 1.764 |
| 1.981 |
| 2.033 |
| 2.268 |
| 2.911 |
| 2.913 |
| 3.252 |
| 3.632 |
| 3.737 |
| 3.801 |
| 4.422 |
| 4.945 |
| 5.715 |
| 6.944 |
| 7.094 |
| 8.169 |
| 8.198 |
| 10.110 |
| 10.216 |
| Property |
Value |
| from where |
JVASP-6160 |