I4Nb2
MatHub2d-1589-I4Nb2
| Property |
Value |
| Space group |
(11, 'P2_1/m') |
| Crystal system |
rectangular |
| Magnetic |
Yes |
| Band gap (PBE) (eV) |
0.00 |
| Free energy (eV) |
-24.963 |
| Free energy / atom (eV) |
-4.161 |
Lattice Parameters (basic)
| a, b, c (Å): | 6.569 | 3.808 | 30.000 |
| α, β, γ (°): | 90.000 | 90.000 | 90.000 |
Lattice Parameters (computed)
| a, b, c (Å): | 6.588 | 3.816 | 30.000 |
| α, β, γ (°): | 90.000 | 90.000 | 90.000 |
| Property |
Value |
| Band gap |
0.00 eV |
| E-fermi |
-0.380 eV |
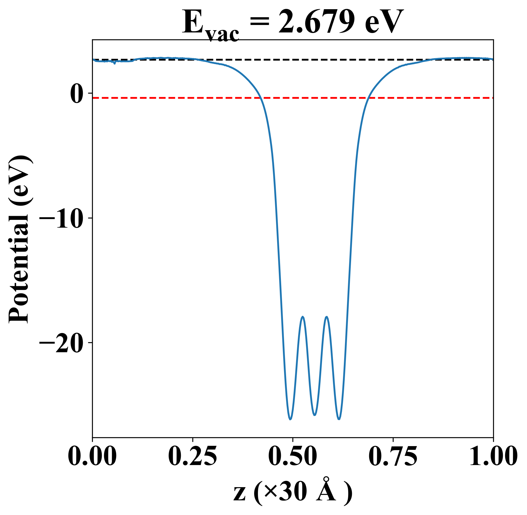
| Vacuum level |
2.679 eV |
| VBM |
-0.381 eV |
| CBM |
-0.379 eV |
| Work function |
3.059 eV |
| Direct gap |
No |
| Property |
Value |
| Band gap |
0.00 eV |
| E-fermi |
-0.380 eV |
| Vacuum level |
2.679 eV |
| VBM |
-0.381 eV |
| CBM |
-0.379 eV |
| Work function |
3.059 eV |
| Cij (N/m) |
xx |
yy |
xy |
| xx |
62.524 |
11.713 |
-0.000 |
| yy |
11.713 |
47.322 |
-0.000 |
| xy |
-0.000 |
-0.000 |
20.769 |
| Phonon mode at Γ point (THz) |
| -0.003 |
| -0.002 |
| -0.001 |
| 1.628 |
| 1.793 |
| 2.434 |
| 2.449 |
| 2.519 |
| 2.689 |
| 3.296 |
| 3.509 |
| 3.563 |
| 3.951 |
| 4.885 |
| 5.205 |
| 6.184 |
| 6.419 |
| 6.799 |
| Property |
Value |
| from where |
c2db-1892 |