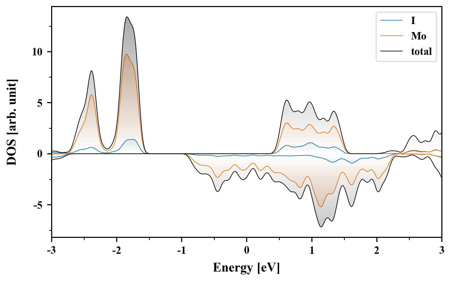
I4Mo2
MatHub2d-1588-I4Mo2
| Property |
Value |
| Space group |
(11, 'P2_1/m') |
| Crystal system |
rectangular |
| Magnetic |
Yes |
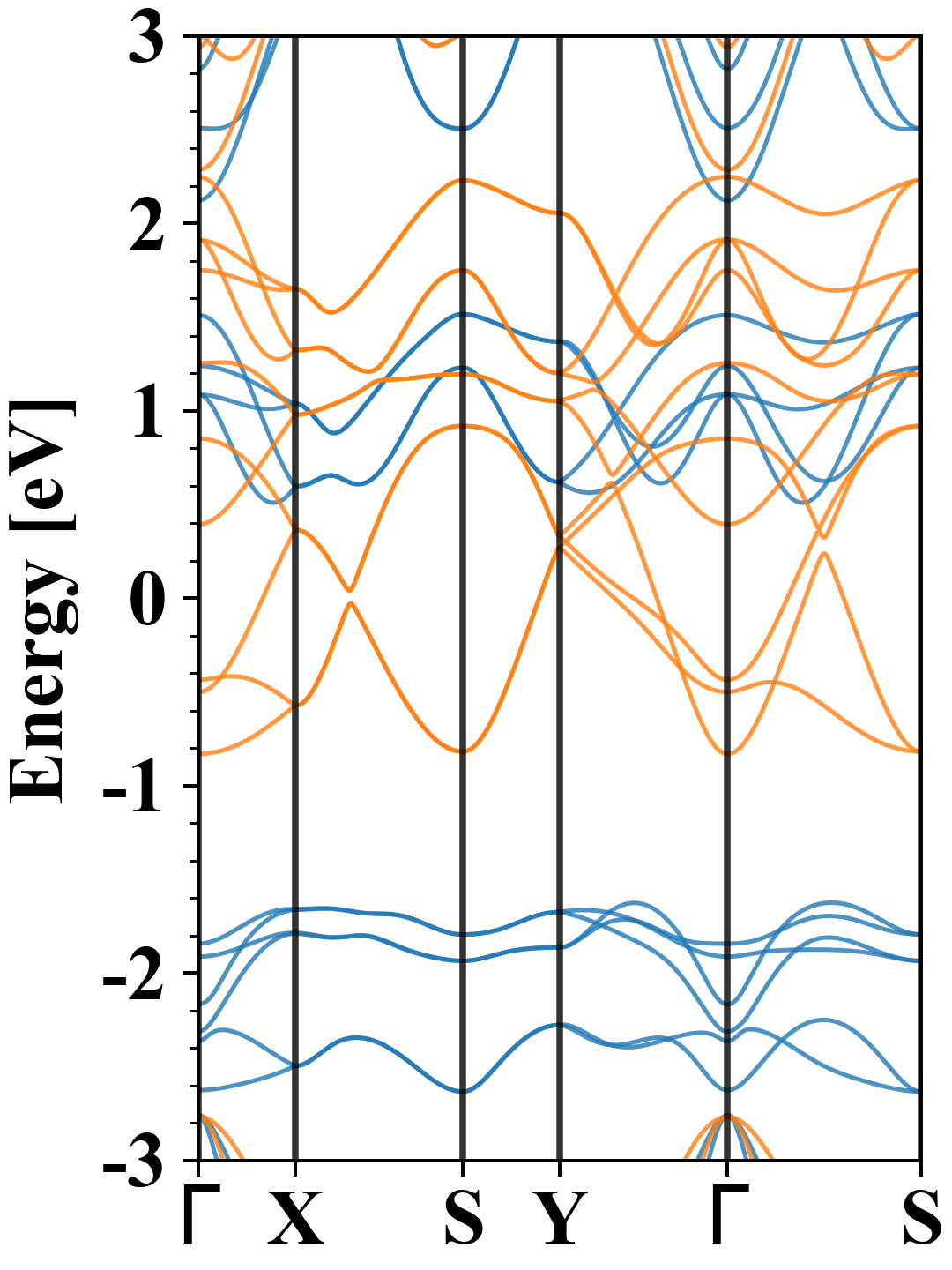
| Band gap (PBE) (eV) |
0.00 |
| Free energy (eV) |
-22.576 |
| Free energy / atom (eV) |
-3.763 |
Lattice Parameters (basic)
| a, b, c (Å): | 6.329 | 4.103 | 30.000 |
| α, β, γ (°): | 90.000 | 90.000 | 90.000 |
Lattice Parameters (computed)
| a, b, c (Å): | 7.042 | 4.065 | 30.000 |
| α, β, γ (°): | 90.000 | 90.000 | 90.000 |
| Property |
Value |
| Band gap |
0.00 eV |
| E-fermi |
-1.170 eV |
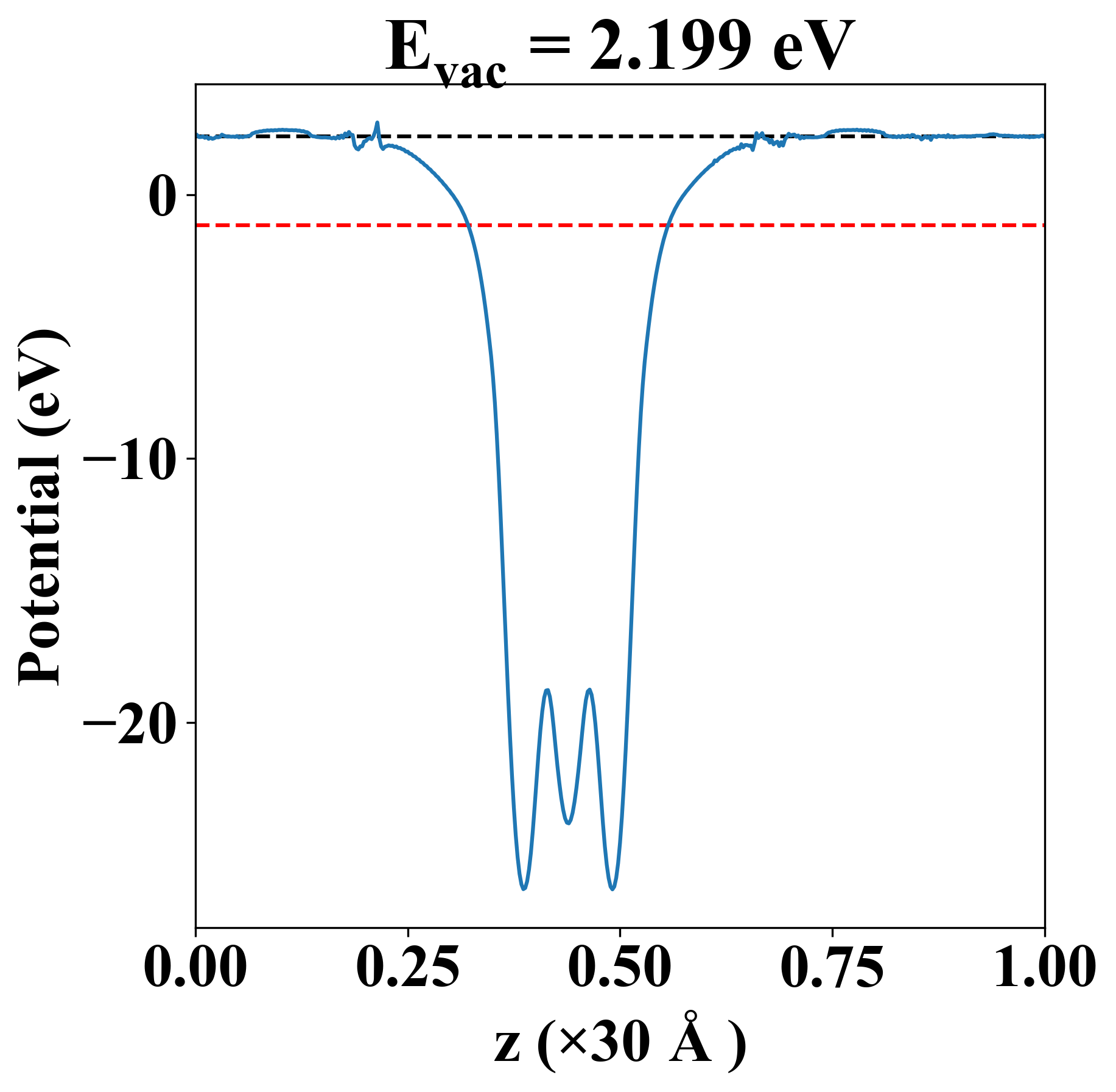
| Vacuum level |
2.199 eV |
| VBM |
-1.172 eV |
| CBM |
-1.169 eV |
| Work function |
3.369 eV |
| Direct gap |
No |
| Property |
Value |
| Band gap |
0.00 eV |
| E-fermi |
-1.170 eV |
| Vacuum level |
2.199 eV |
| VBM |
-1.172 eV |
| CBM |
-1.169 eV |
| Work function |
3.369 eV |
| Cij (N/m) |
xx |
yy |
xy |
| xx |
-1.823 |
15.171 |
-0.000 |
| yy |
15.171 |
-1.365 |
-0.000 |
| xy |
-0.000 |
-0.000 |
-8.288 |
| Phonon mode at Γ point (THz) |
| -5.098 |
| -2.579 |
| -0.005 |
| -0.002 |
| -0.002 |
| 1.959 |
| 2.708 |
| 2.713 |
| 2.776 |
| 2.823 |
| 3.216 |
| 3.450 |
| 3.583 |
| 3.762 |
| 4.189 |
| 4.391 |
| 5.111 |
| 5.118 |
| Property |
Value |
| from where |
c2db-1885 |