I2Se2V2
MatHub2d-1584-I2Se2V2
| Property |
Value |
| Space group |
(59, 'Pmmn') |
| Crystal system |
rectangular |
| Magnetic |
Yes |
| Band gap (PBE) (eV) |
0.52 |
| Free energy (eV) |
-27.737 |
| Free energy / atom (eV) |
-4.623 |
Lattice Parameters (basic)
| a, b, c (Å): | 3.850 | 5.011 | 30.000 |
| α, β, γ (°): | 90.000 | 90.000 | 90.000 |
Lattice Parameters (computed)
| a, b, c (Å): | 3.937 | 5.139 | 30.000 |
| α, β, γ (°): | 90.000 | 90.000 | 90.000 |
| Property |
Value |
| Band gap |
0.52 eV |
| E-fermi |
-2.964 eV |
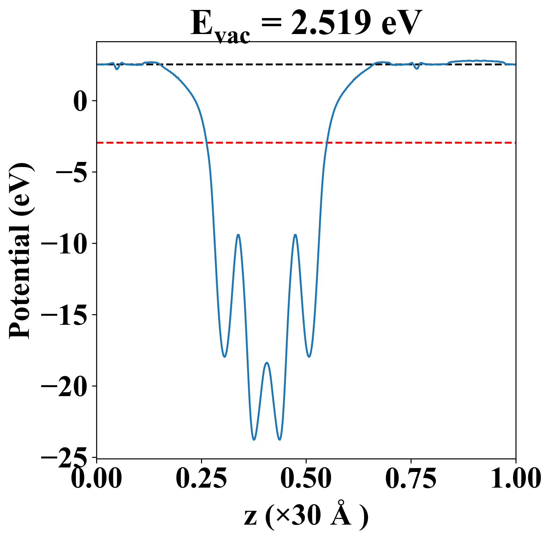
| Vacuum level |
2.519 eV |
| VBM |
-3.223 eV |
| CBM |
-2.701 eV |
| Work function |
5.483 eV |
| Direct gap |
No |
| Property |
Value |
| Band gap |
0.37 eV |
| E-fermi |
-2.886 eV |
| VBM |
-3.076 eV |
| CBM |
-2.701 eV |
| Free energy (eV) |
-28.047 |
| Free energy / atom (eV) |
-4.675 |
| Property |
Value |
| Band gap |
0.52 eV |
| E-fermi |
-2.964 eV |
| Vacuum level |
2.519 eV |
| VBM |
-3.223 eV |
| CBM |
-2.701 eV |
| Work function |
5.483 eV |
| Cij (N/m) |
xx |
yy |
xy |
| xx |
38.469 |
9.458 |
0.000 |
| yy |
9.458 |
67.398 |
0.000 |
| xy |
0.000 |
0.000 |
9.077 |
| Phonon mode at Γ point (THz) |
| Property |
Value |
| from where |
c2db-419 |