I2Se2Ta2
MatHub2d-1581-I2Se2Ta2
| Property |
Value |
| Space group |
(59, 'Pmmn') |
| Crystal system |
rectangular |
| Magnetic |
No |
| Band gap (PBE) (eV) |
0.00 |
| Free energy (eV) |
-33.130 |
| Free energy / atom (eV) |
-5.522 |
Lattice Parameters (basic)
| a, b, c (Å): | 3.623 | 5.010 | 30.000 |
| α, β, γ (°): | 90.000 | 90.000 | 90.000 |
Lattice Parameters (computed)
| a, b, c (Å): | 3.643 | 5.025 | 30.000 |
| α, β, γ (°): | 90.000 | 90.000 | 90.000 |
| Property |
Value |
| Band gap |
0.00 eV |
| E-fermi |
-1.523 eV |
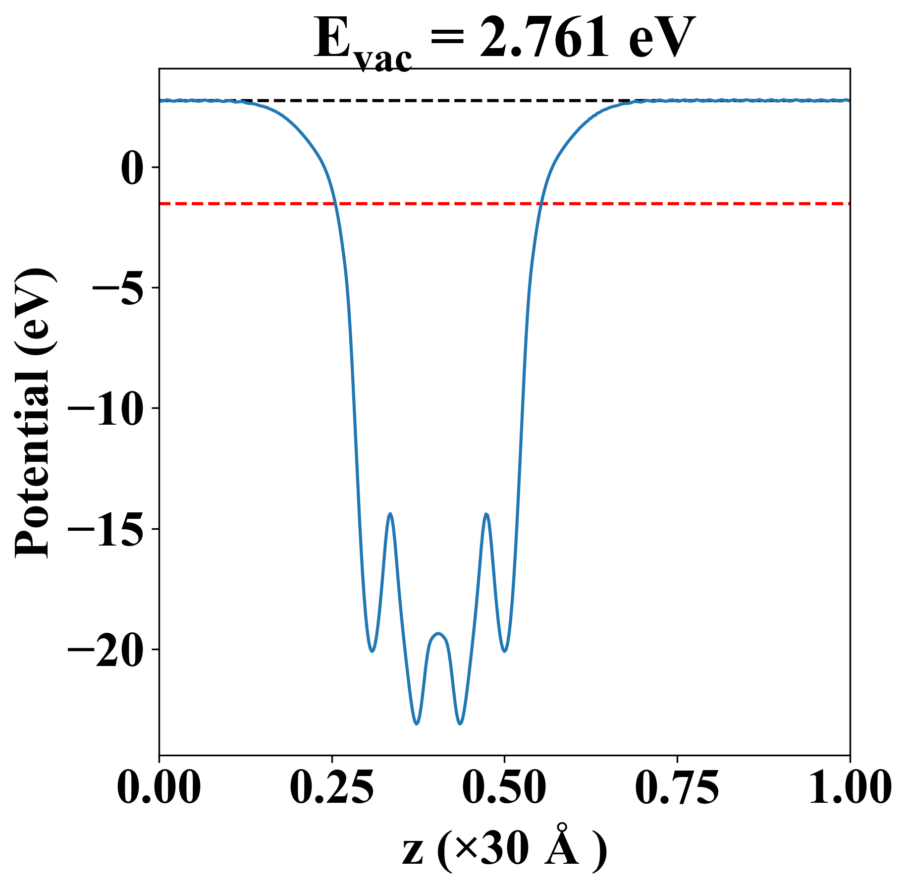
| Vacuum level |
2.761 eV |
| VBM |
-1.525 eV |
| CBM |
-1.523 eV |
| Work function |
4.284 eV |
| Direct gap |
No |
| Property |
Value |
| Band gap |
0.00 eV |
| E-fermi |
-1.523 eV |
| Vacuum level |
2.761 eV |
| VBM |
-1.525 eV |
| CBM |
-1.523 eV |
| Work function |
4.284 eV |
| Cij (N/m) |
xx |
yy |
xy |
| xx |
75.830 |
3.052 |
0.000 |
| yy |
3.052 |
148.615 |
0.000 |
| xy |
0.000 |
0.000 |
22.650 |
| Phonon mode at Γ point (THz) |
| Property |
Value |
| from where |
c2db-374 |