I2Sc2Se2
MatHub2d-1579-I2Sc2Se2
| Property |
Value |
| Space group |
(59, 'Pmmn') |
| Crystal system |
rectangular |
| Magnetic |
No |
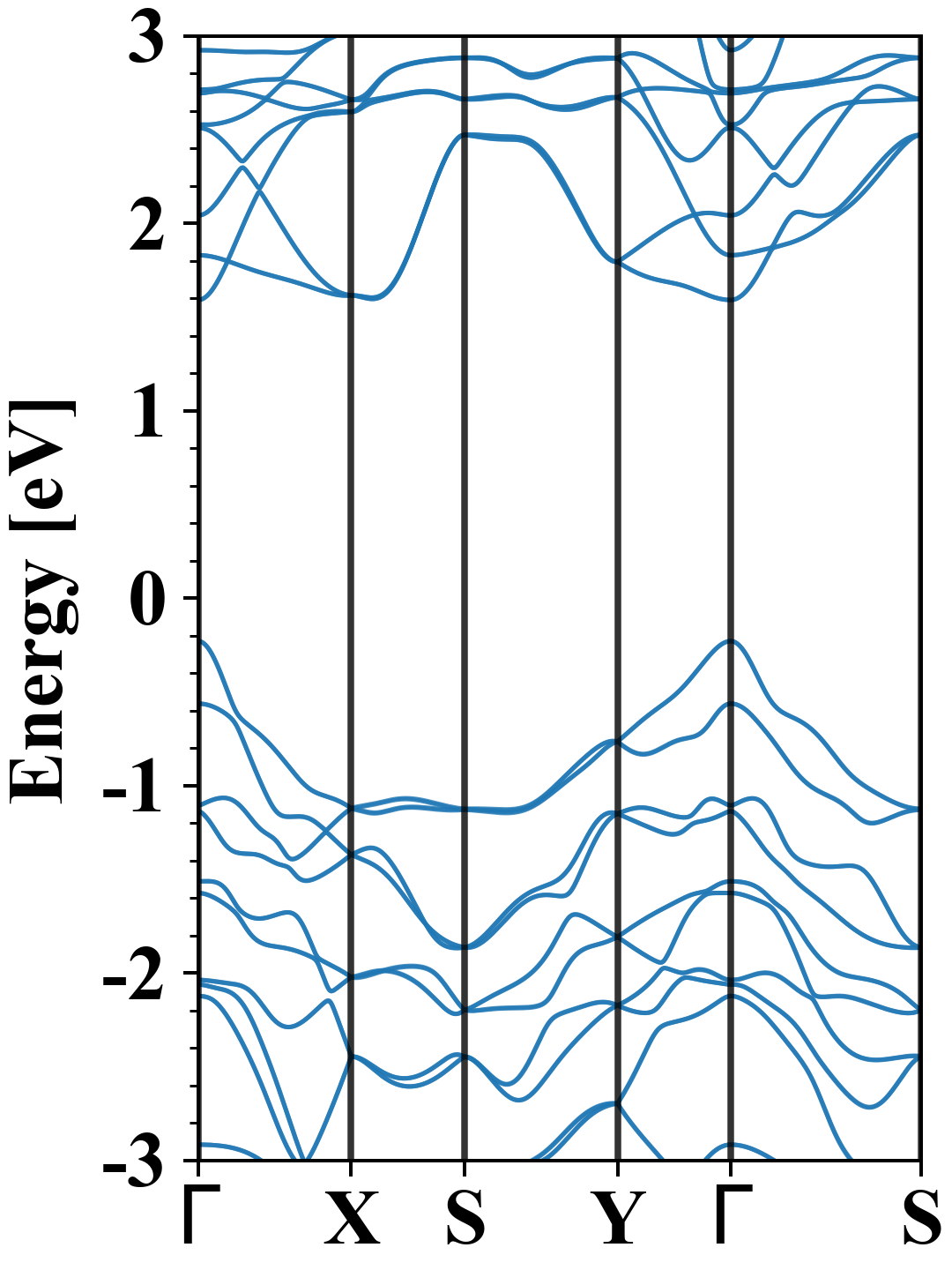
| Band gap (PBE) (eV) |
1.95 |
| Free energy (eV) |
-29.457 |
| Free energy / atom (eV) |
-4.910 |
Lattice Parameters (basic)
| a, b, c (Å): | 3.984 | 5.377 | 30.000 |
| α, β, γ (°): | 90.000 | 90.000 | 90.000 |
Lattice Parameters (computed)
| a, b, c (Å): | 4.035 | 5.452 | 30.000 |
| α, β, γ (°): | 90.000 | 90.000 | 90.000 |
| Property |
Value |
| Band gap |
1.95 eV |
| E-fermi |
-3.311 eV |
| Vacuum level |
2.384 eV |
| VBM |
-3.634 eV |
| CBM |
-1.683 eV |
| Work function |
5.694 eV |
| Direct gap |
Yes |
| Property |
Value |
| Band gap |
1.82 eV |
| E-fermi |
-3.264 eV |
| VBM |
-3.494 eV |
| CBM |
-1.674 eV |
| Free energy (eV) |
-29.757 |
| Free energy / atom (eV) |
-4.959 |
| Property |
Value |
| Band gap |
1.95 eV |
| E-fermi |
-3.311 eV |
| Vacuum level |
2.384 eV |
| VBM |
-3.634 eV |
| CBM |
-1.683 eV |
| Work function |
5.694 eV |
| Cij (N/m) |
xx |
yy |
xy |
| xx |
52.899 |
9.277 |
0.000 |
| yy |
9.277 |
65.842 |
0.000 |
| xy |
0.000 |
0.000 |
17.432 |
| Phonon mode at Γ point (THz) |
| Property |
Value |
| from where |
c2db-351 |