I2S2W2
MatHub2d-1577-I2S2W2
| Property |
Value |
| Space group |
(59, 'Pmmn') |
| Crystal system |
rectangular |
| Magnetic |
Yes |
| Band gap (PBE) (eV) |
0.00 |
| Free energy (eV) |
-33.516 |
| Free energy / atom (eV) |
-5.586 |
Lattice Parameters (basic)
| a, b, c (Å): | 3.882 | 4.837 | 30.000 |
| α, β, γ (°): | 90.000 | 90.000 | 90.000 |
Lattice Parameters (computed)
| a, b, c (Å): | 3.893 | 4.931 | 30.000 |
| α, β, γ (°): | 90.000 | 90.000 | 90.000 |
| Property |
Value |
| Band gap |
0.00 eV |
| E-fermi |
-1.886 eV |
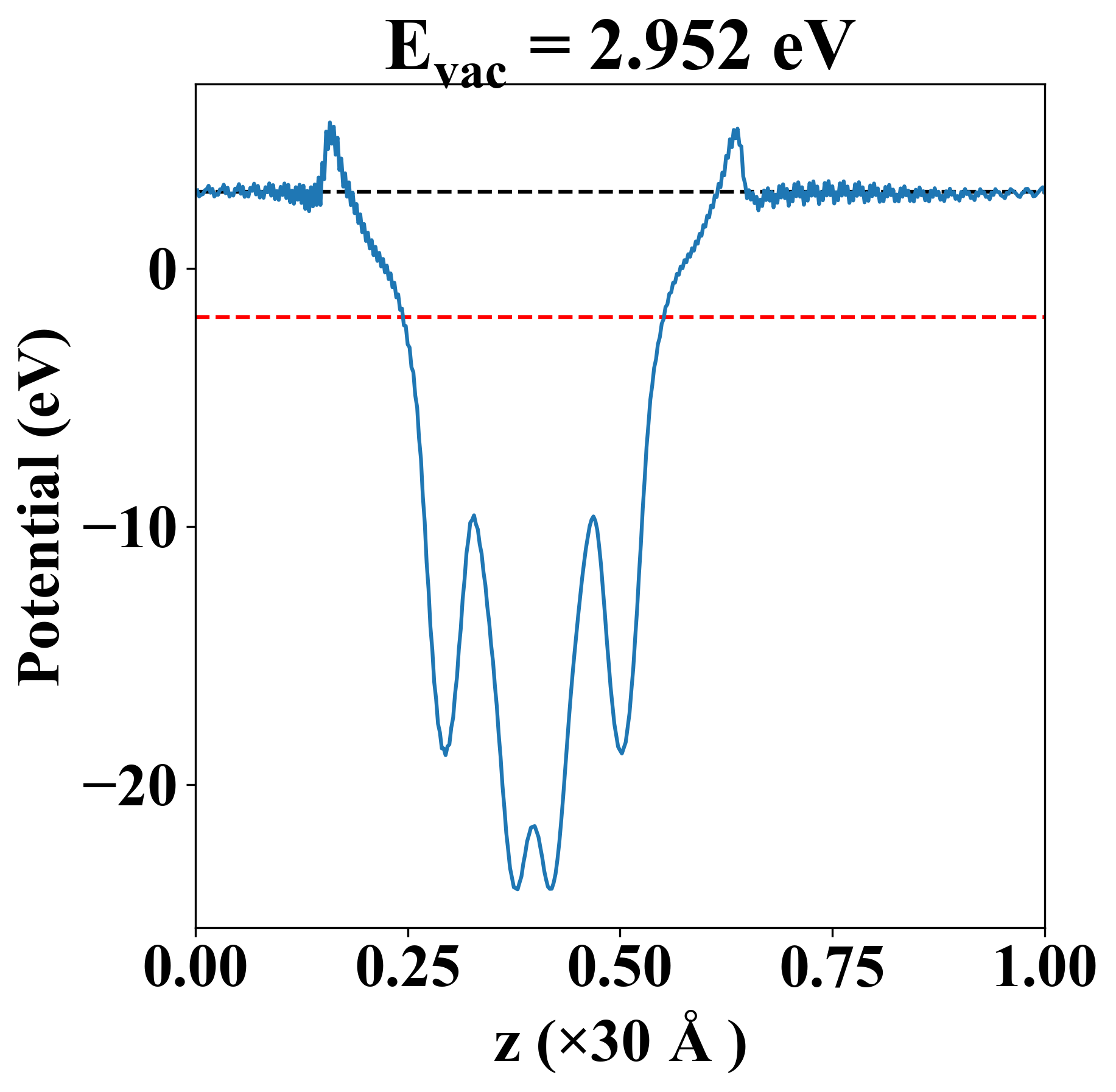
| Vacuum level |
2.952 eV |
| VBM |
-2.177 eV |
| CBM |
-1.390 eV |
| Work function |
4.838 eV |
| Direct gap |
Yes |
| Property |
Value |
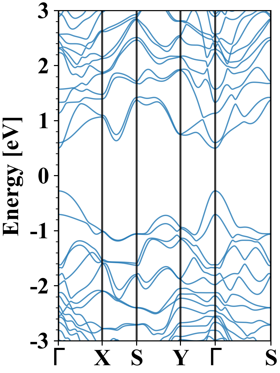
| Band gap |
0.78 eV |
| E-fermi |
-1.903 eV |
| VBM |
-2.179 eV |
| CBM |
-1.403 eV |
| Free energy (eV) |
-34.149 |
| Free energy / atom (eV) |
-5.692 |
| Property |
Value |
| Band gap |
0.00 eV |
| E-fermi |
-1.886 eV |
| Vacuum level |
2.952 eV |
| VBM |
-2.177 eV |
| CBM |
-1.390 eV |
| Work function |
4.838 eV |
| Property |
Value |
| from where |
c2db-431 |