I2S2Tl2
MatHub2d-1575-I2S2Tl2
| Property |
Value |
| Space group |
(59, 'Pmmn') |
| Crystal system |
rectangular |
| Magnetic |
No |
| Band gap (PBE) (eV) |
0.08 |
| Free energy (eV) |
-16.198 |
| Free energy / atom (eV) |
-2.700 |
Lattice Parameters (basic)
| a, b, c (Å): | 4.328 | 4.929 | 30.000 |
| α, β, γ (°): | 90.000 | 90.000 | 90.000 |
Lattice Parameters (computed)
| a, b, c (Å): | 4.336 | 4.945 | 30.000 |
| α, β, γ (°): | 90.000 | 90.000 | 90.000 |
| Property |
Value |
| Band gap |
0.08 eV |
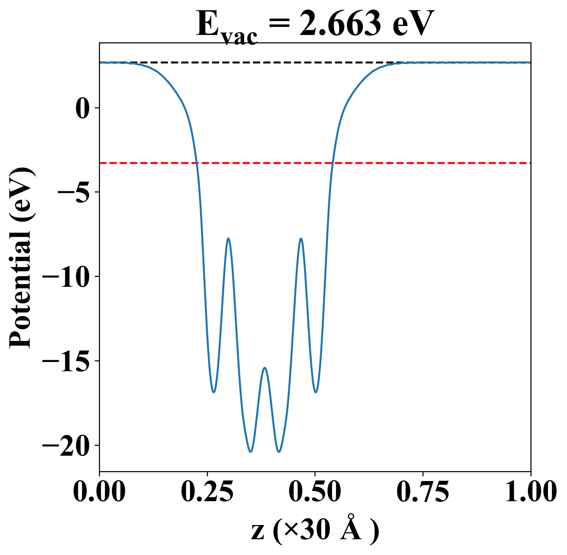
| E-fermi |
-3.282 eV |
| Vacuum level |
2.663 eV |
| VBM |
-3.329 eV |
| CBM |
-3.245 eV |
| Work function |
5.945 eV |
| Direct gap |
Yes |
| Property |
Value |
| Band gap |
0.08 eV |
| E-fermi |
-3.282 eV |
| Vacuum level |
2.663 eV |
| VBM |
-3.329 eV |
| CBM |
-3.245 eV |
| Work function |
5.945 eV |
| Cij (N/m) |
xx |
yy |
xy |
| xx |
30.797 |
18.808 |
0.000 |
| yy |
18.808 |
-22.228 |
0.000 |
| xy |
0.000 |
0.000 |
11.528 |
| Phonon mode at Γ point (THz) |
| Property |
Value |
| from where |
c2db-398 |