I2S2Sn2
MatHub2d-1572-I2S2Sn2
| Property |
Value |
| Space group |
(59, 'Pmmn') |
| Crystal system |
rectangular |
| Magnetic |
No |
| Band gap (PBE) (eV) |
0.00 |
| Free energy (eV) |
-21.325 |
| Free energy / atom (eV) |
-3.554 |
Lattice Parameters (basic)
| a, b, c (Å): | 4.119 | 5.322 | 30.000 |
| α, β, γ (°): | 90.000 | 90.000 | 90.000 |
Lattice Parameters (computed)
| a, b, c (Å): | 4.029 | 5.318 | 30.000 |
| α, β, γ (°): | 90.000 | 90.000 | 90.000 |
| Property |
Value |
| Band gap |
0.00 eV |
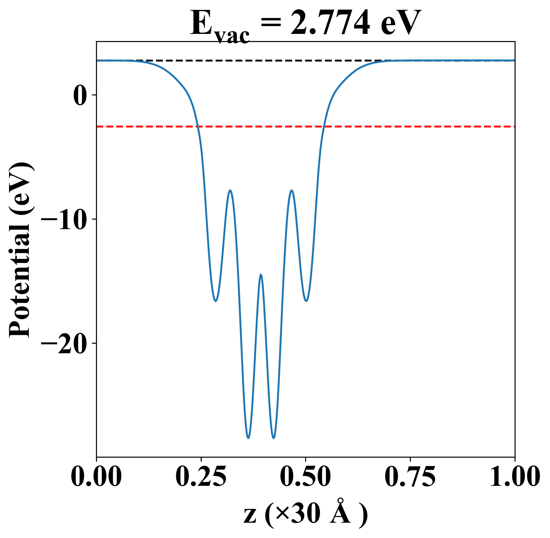
| E-fermi |
-2.550 eV |
| Vacuum level |
2.774 eV |
| VBM |
-2.554 eV |
| CBM |
-2.548 eV |
| Work function |
5.323 eV |
| Direct gap |
No |
| Property |
Value |
| Band gap |
0.00 eV |
| E-fermi |
-2.550 eV |
| Vacuum level |
2.774 eV |
| VBM |
-2.554 eV |
| CBM |
-2.548 eV |
| Work function |
5.323 eV |
| Cij (N/m) |
xx |
yy |
xy |
| xx |
37.444 |
15.820 |
0.000 |
| yy |
15.820 |
65.333 |
0.000 |
| xy |
0.000 |
0.000 |
10.955 |
| Phonon mode at Γ point (THz) |
| -0.021 |
| -0.020 |
| -0.002 |
| 0.915 |
| 1.063 |
| 1.264 |
| 1.311 |
| 2.431 |
| 2.526 |
| 2.528 |
| 4.057 |
| 4.349 |
| 4.627 |
| 5.392 |
| 5.693 |
| 6.078 |
| 6.619 |
| 7.711 |
| Property |
Value |
| from where |
c2db-362 |