I2S2Sc2
MatHub2d-1571-I2S2Sc2
| Property |
Value |
| Space group |
(59, 'Pmmn') |
| Crystal system |
rectangular |
| Magnetic |
No |
| Band gap (PBE) (eV) |
2.28 |
| Free energy (eV) |
-31.438 |
| Free energy / atom (eV) |
-5.240 |
Lattice Parameters (basic)
| a, b, c (Å): | 3.925 | 5.097 | 30.000 |
| α, β, γ (°): | 90.000 | 90.000 | 90.000 |
Lattice Parameters (computed)
| a, b, c (Å): | 3.977 | 5.161 | 30.000 |
| α, β, γ (°): | 90.000 | 90.000 | 90.000 |
| Property |
Value |
| Band gap |
2.28 eV |
| E-fermi |
-3.398 eV |
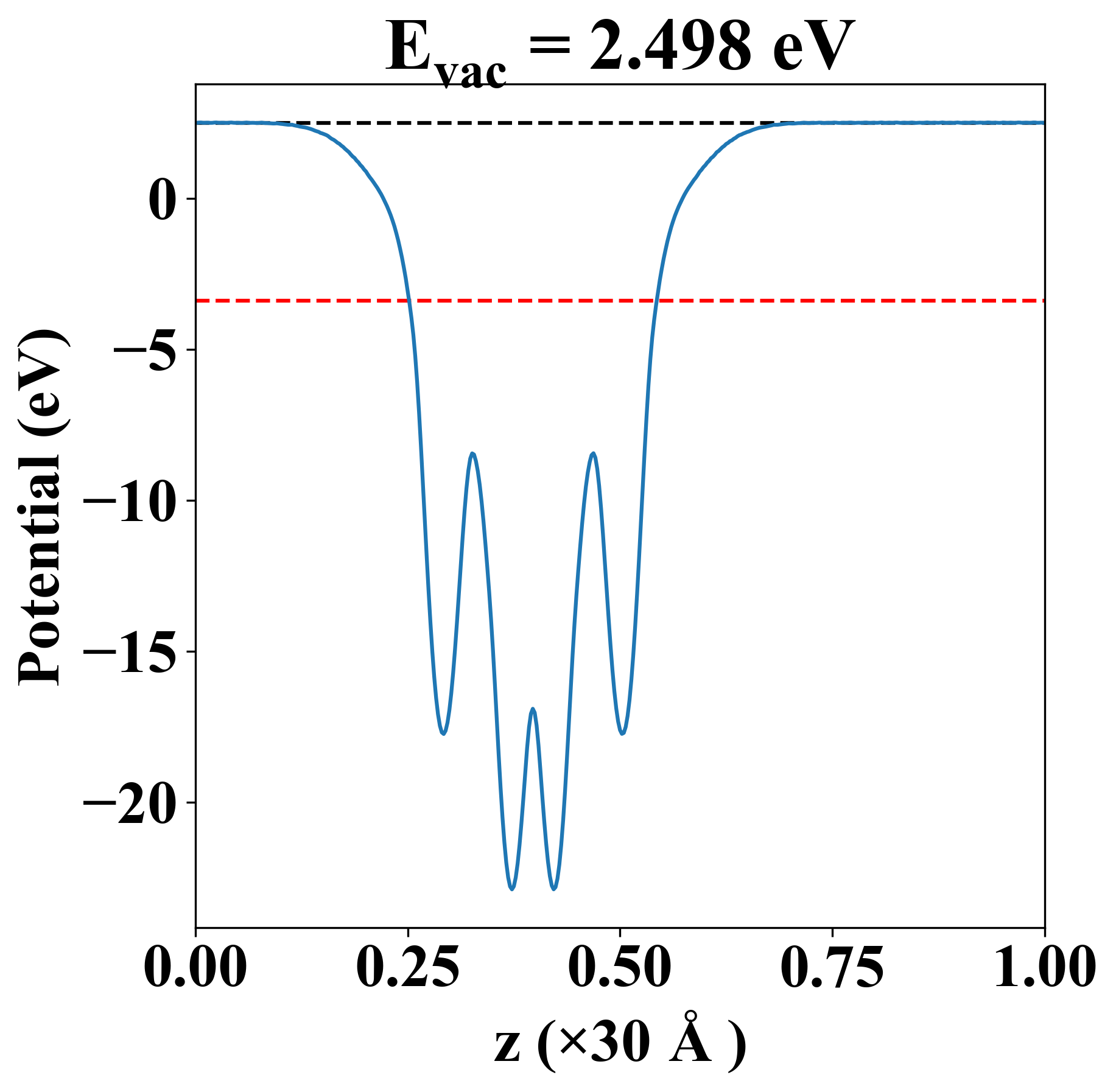
| Vacuum level |
2.498 eV |
| VBM |
-3.782 eV |
| CBM |
-1.503 eV |
| Work function |
5.896 eV |
| Direct gap |
No |
| Property |
Value |
| Band gap |
2.18 eV |
| E-fermi |
-3.397 eV |
| VBM |
-3.666 eV |
| CBM |
-1.490 eV |
| Free energy (eV) |
-31.701 |
| Free energy / atom (eV) |
-5.284 |
| Property |
Value |
| Band gap |
2.28 eV |
| E-fermi |
-3.398 eV |
| Vacuum level |
2.498 eV |
| VBM |
-3.782 eV |
| CBM |
-1.503 eV |
| Work function |
5.896 eV |
| Cij (N/m) |
xx |
yy |
xy |
| xx |
59.551 |
12.065 |
0.000 |
| yy |
12.065 |
71.213 |
0.000 |
| xy |
0.000 |
0.000 |
20.613 |
| Phonon mode at Γ point (THz) |
| Property |
Value |
| from where |
c2db-350 |