I2S2Sb2
MatHub2d-1570-I2S2Sb2
| Property |
Value |
| Space group |
(59, 'Pmmn') |
| Crystal system |
rectangular |
| Magnetic |
No |
| Band gap (PBE) (eV) |
0.35 |
| Free energy (eV) |
-20.700 |
| Free energy / atom (eV) |
-3.450 |
Lattice Parameters (basic)
| a, b, c (Å): | 3.797 | 6.126 | 30.000 |
| α, β, γ (°): | 90.000 | 90.000 | 90.000 |
Lattice Parameters (computed)
| a, b, c (Å): | 3.815 | 6.134 | 30.000 |
| α, β, γ (°): | 90.000 | 90.000 | 90.000 |
| Property |
Value |
| Band gap |
0.35 eV |
| E-fermi |
-2.975 eV |
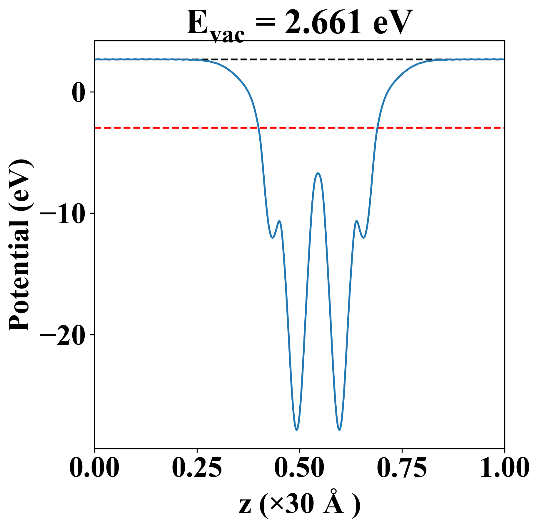
| Vacuum level |
2.661 eV |
| VBM |
-3.150 eV |
| CBM |
-2.802 eV |
| Work function |
5.637 eV |
| Direct gap |
No |
| Property |
Value |
| Band gap |
0.29 eV |
| E-fermi |
-2.957 eV |
| VBM |
-3.103 eV |
| CBM |
-2.816 eV |
| Free energy (eV) |
-21.096 |
| Free energy / atom (eV) |
-3.516 |
| Property |
Value |
| Band gap |
0.35 eV |
| E-fermi |
-2.975 eV |
| Vacuum level |
2.661 eV |
| VBM |
-3.150 eV |
| CBM |
-2.802 eV |
| Work function |
5.637 eV |
| Cij (N/m) |
xx |
yy |
xy |
| xx |
53.967 |
-2.241 |
0.000 |
| yy |
-2.241 |
55.462 |
0.000 |
| xy |
0.000 |
0.000 |
5.782 |
| Phonon mode at Γ point (THz) |
| -0.731 |
| -0.628 |
| -0.120 |
| -0.034 |
| 0.309 |
| 0.905 |
| 0.997 |
| 1.222 |
| 1.242 |
| 1.368 |
| 1.433 |
| 2.207 |
| 3.242 |
| 3.261 |
| 6.487 |
| 6.628 |
| 9.892 |
| 9.908 |
| Property |
Value |
| from where |
JVASP-6724 |