I2S2Sb2
MatHub2d-1569-I2S2Sb2
| Property |
Value |
| Space group |
(11, 'P2_1/m') |
| Crystal system |
rectangular |
| Magnetic |
No |
| Band gap (PBE) (eV) |
1.88 |
| Free energy (eV) |
-21.255 |
| Free energy / atom (eV) |
-3.542 |
Lattice Parameters (basic)
| a, b, c (Å): | 10.396 | 4.143 | 30.000 |
| α, β, γ (°): | 90.000 | 90.000 | 90.000 |
Lattice Parameters (computed)
| a, b, c (Å): | 10.826 | 4.164 | 30.000 |
| α, β, γ (°): | 90.000 | 90.000 | 90.000 |
| Property |
Value |
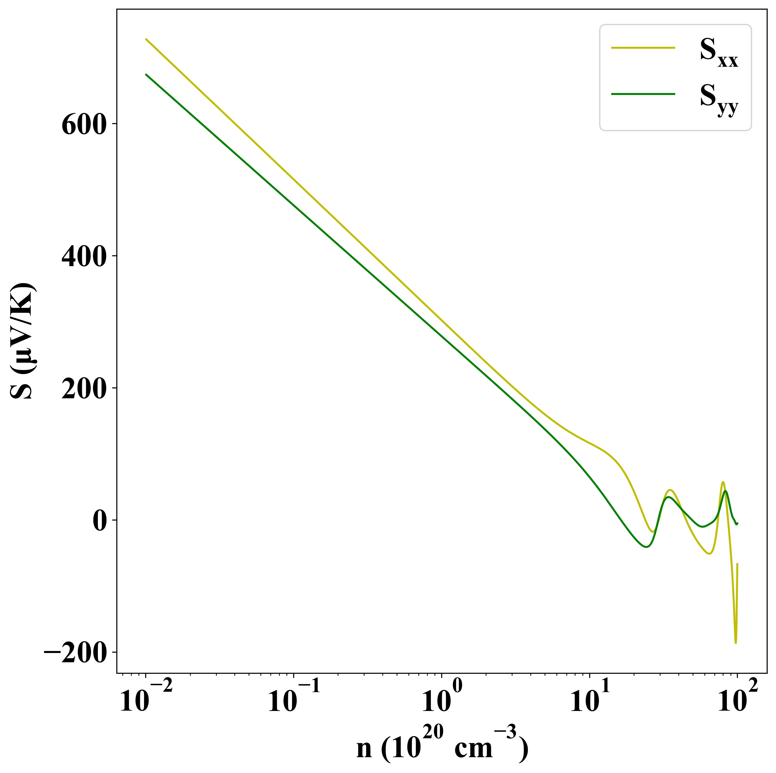
| Band gap |
1.88 eV |
| E-fermi |
-4.190 eV |
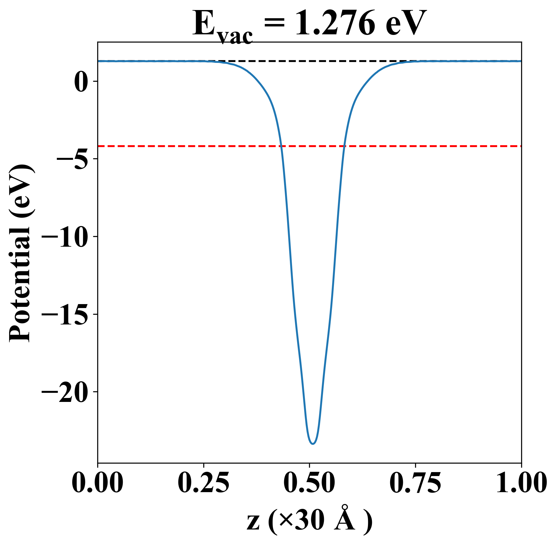
| Vacuum level |
1.276 eV |
| VBM |
-4.469 eV |
| CBM |
-2.587 eV |
| Work function |
5.466 eV |
| Direct gap |
No |
| Property |
Value |
| Band gap |
1.64 eV |
| E-fermi |
-4.120 eV |
| VBM |
-4.353 eV |
| CBM |
-2.713 eV |
| Free energy (eV) |
-21.639 |
| Free energy / atom (eV) |
-3.606 |
| Property |
Value |
| Band gap |
1.88 eV |
| E-fermi |
-4.190 eV |
| Vacuum level |
1.276 eV |
| VBM |
-4.469 eV |
| CBM |
-2.587 eV |
| Work function |
5.466 eV |
| Cij (N/m) |
xx |
yy |
xy |
| xx |
2.425 |
0.947 |
-0.000 |
| yy |
0.947 |
20.386 |
0.000 |
| xy |
-0.000 |
0.000 |
2.121 |
| Phonon mode at Γ point (THz) |
| Property |
Value |
| from where |
JVASP-6730 |