I2Rh2Se2
MatHub2d-1566-I2Rh2Se2
| Property |
Value |
| Space group |
(59, 'Pmmn') |
| Crystal system |
rectangular |
| Magnetic |
|
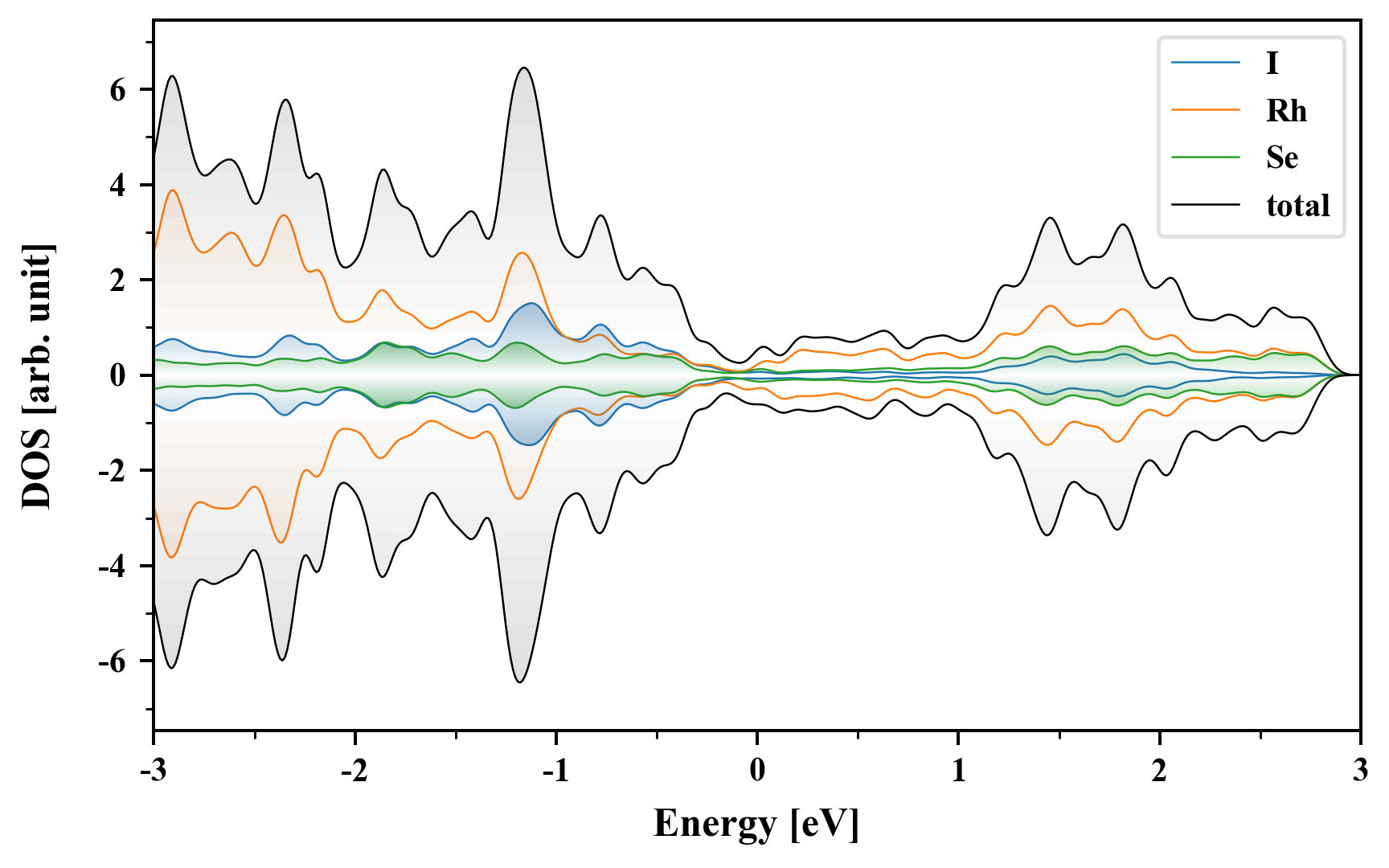
| Band gap (PBE) (eV) |
0.00 |
| Free energy (eV) |
-20.881 |
| Free energy / atom (eV) |
-3.480 |
Lattice Parameters (basic)
| a, b, c (Å): | 3.829 | 4.921 | 30.000 |
| α, β, γ (°): | 90.000 | 90.000 | 90.000 |
Lattice Parameters (computed)
| a, b, c (Å): | 3.815 | 4.921 | 30.000 |
| α, β, γ (°): | 90.000 | 90.000 | 90.000 |
| Property |
Value |
| Band gap |
0.00 eV |
| E-fermi |
-2.497 eV |
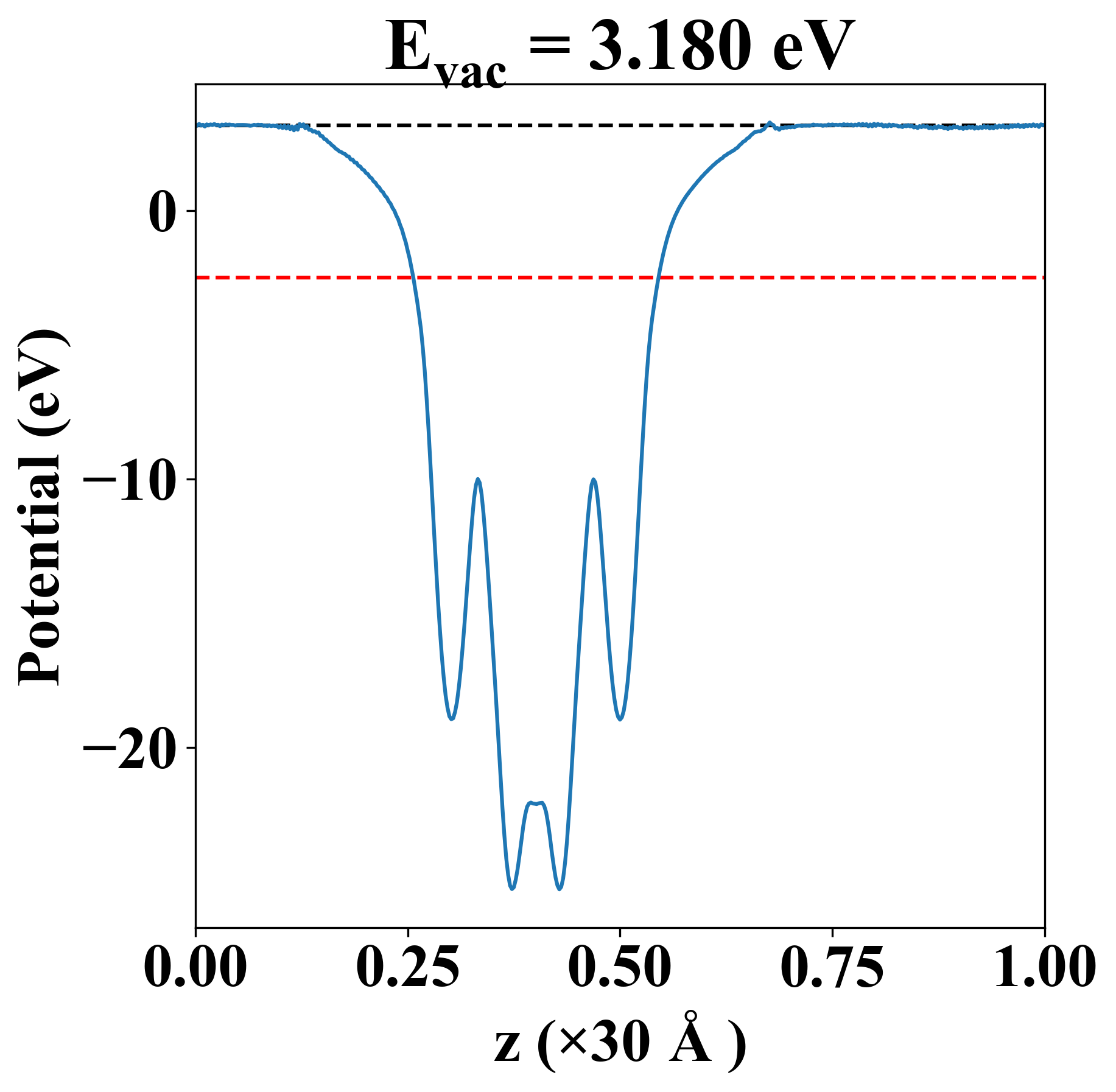
| Vacuum level |
3.180 eV |
| VBM |
-2.497 eV |
| CBM |
-2.497 eV |
| Work function |
5.677 eV |
| Direct gap |
No |
| Property |
Value |
| Band gap |
0.00 eV |
| E-fermi |
-2.497 eV |
| Vacuum level |
3.180 eV |
| VBM |
-2.497 eV |
| CBM |
-2.497 eV |
| Work function |
5.677 eV |
| Cij (N/m) |
xx |
yy |
xy |
| xx |
74.353 |
8.977 |
0.000 |
| yy |
8.977 |
106.269 |
0.000 |
| xy |
0.000 |
0.000 |
15.775 |
| Phonon mode at Γ point (THz) |
| Property |
Value |
| from where |
c2db-323 |