I2Rh2S2
MatHub2d-1565-I2Rh2S2
| Property |
Value |
| Space group |
(59, 'Pmmn') |
| Crystal system |
rectangular |
| Magnetic |
No |
| Band gap (PBE) (eV) |
0.29 |
| Free energy (eV) |
-22.237 |
| Free energy / atom (eV) |
-3.706 |
Lattice Parameters (basic)
| a, b, c (Å): | 3.715 | 4.661 | 30.000 |
| α, β, γ (°): | 90.000 | 90.000 | 90.000 |
Lattice Parameters (computed)
| a, b, c (Å): | 3.706 | 4.660 | 30.000 |
| α, β, γ (°): | 90.000 | 90.000 | 90.000 |
| Property |
Value |
| Band gap |
0.29 eV |
| E-fermi |
-2.250 eV |
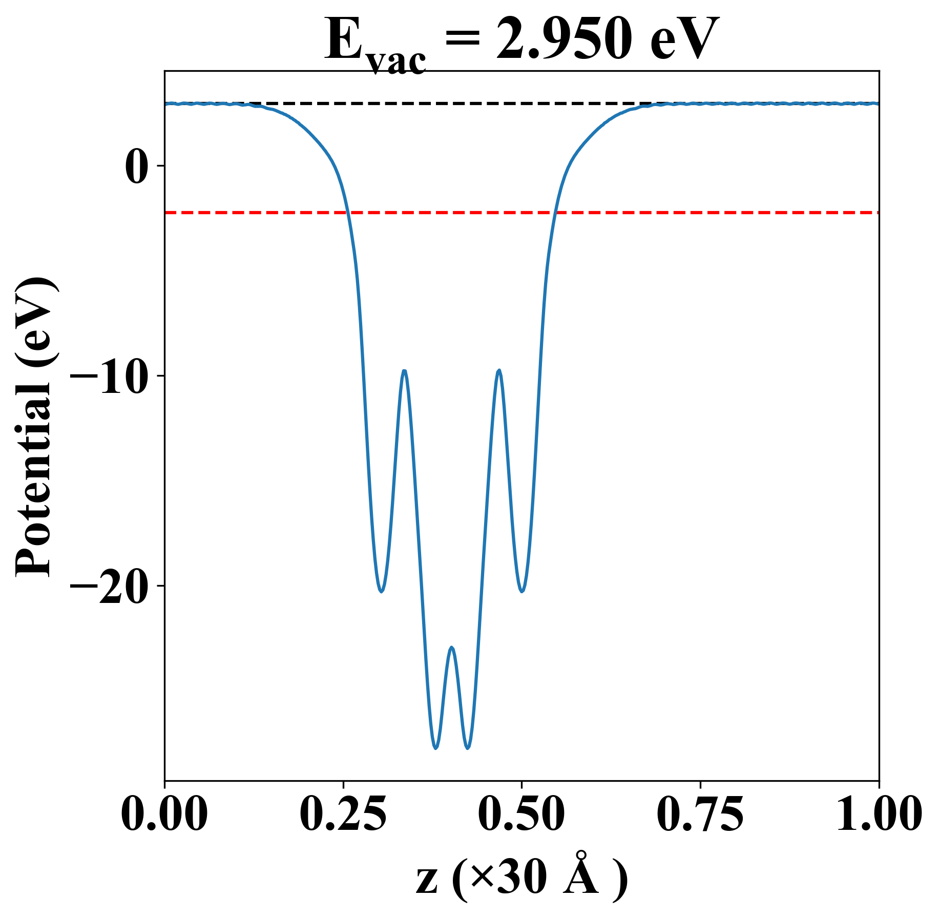
| Vacuum level |
2.950 eV |
| VBM |
-2.397 eV |
| CBM |
-2.103 eV |
| Work function |
5.200 eV |
| Direct gap |
No |
| Property |
Value |
| Band gap |
0.30 eV |
| E-fermi |
-2.201 eV |
| VBM |
-2.349 eV |
| CBM |
-2.053 eV |
| Free energy (eV) |
-22.833 |
| Free energy / atom (eV) |
-3.806 |
| Property |
Value |
| Band gap |
0.29 eV |
| E-fermi |
-2.250 eV |
| Vacuum level |
2.950 eV |
| VBM |
-2.397 eV |
| CBM |
-2.103 eV |
| Work function |
5.200 eV |
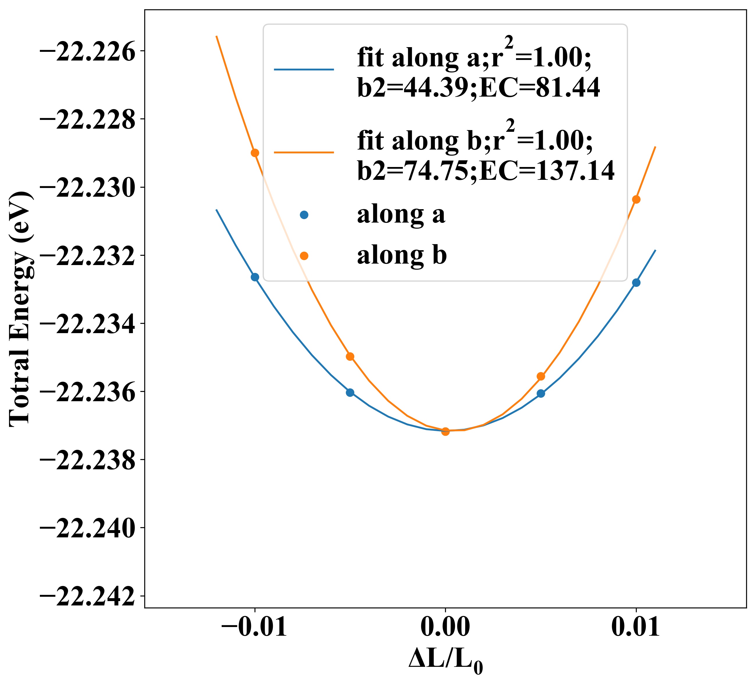
| Cij (N/m) |
xx |
yy |
xy |
| xx |
78.166 |
8.815 |
0.000 |
| yy |
8.815 |
130.362 |
0.000 |
| xy |
0.000 |
0.000 |
19.784 |
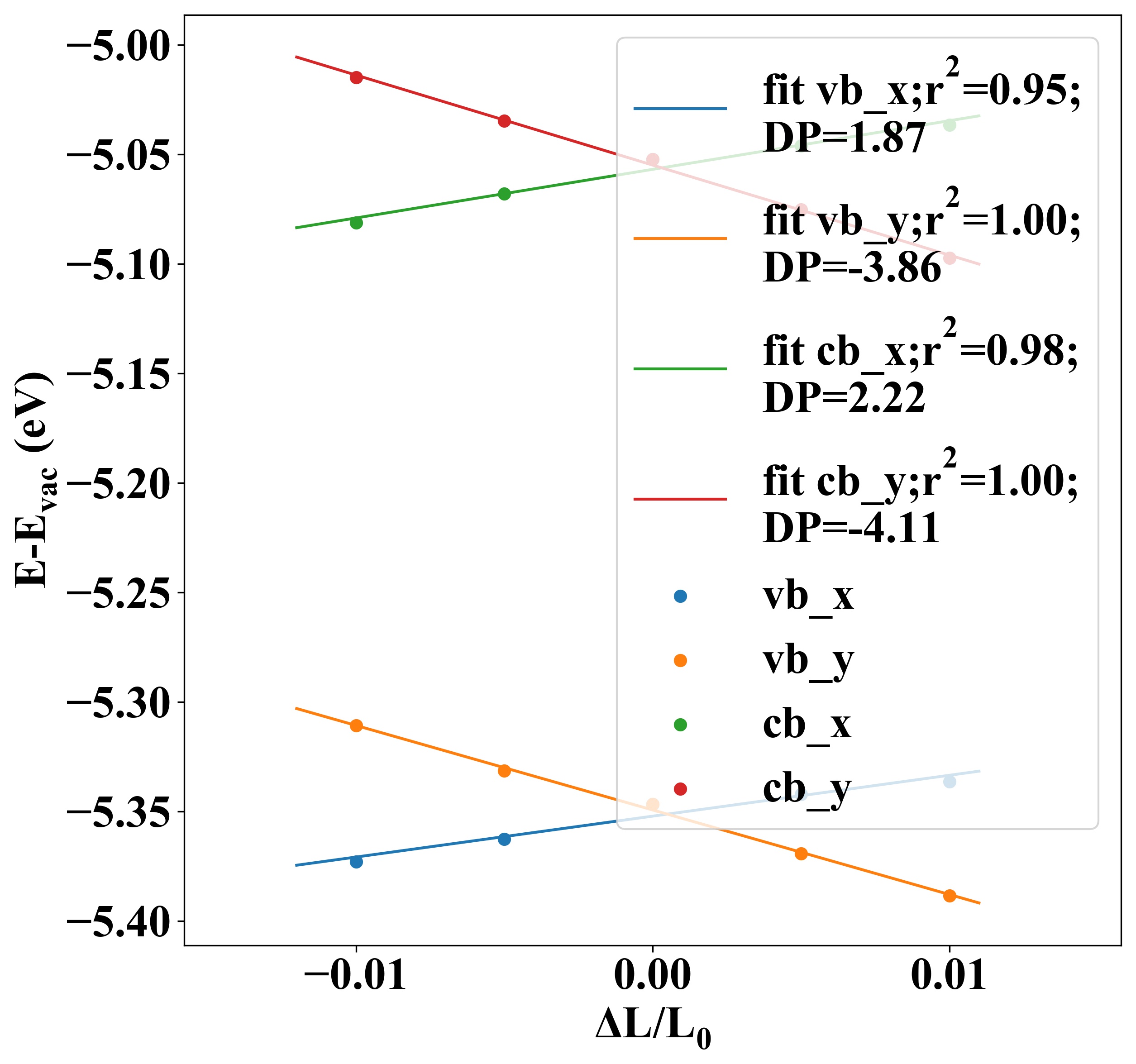
| Phonon mode at Γ point (THz) |
| Carrier type |
C2D (N/m) |
Edef (eV) |
μ (cm2V-1s-1) |
| x |
y |
x |
y |
x |
y |
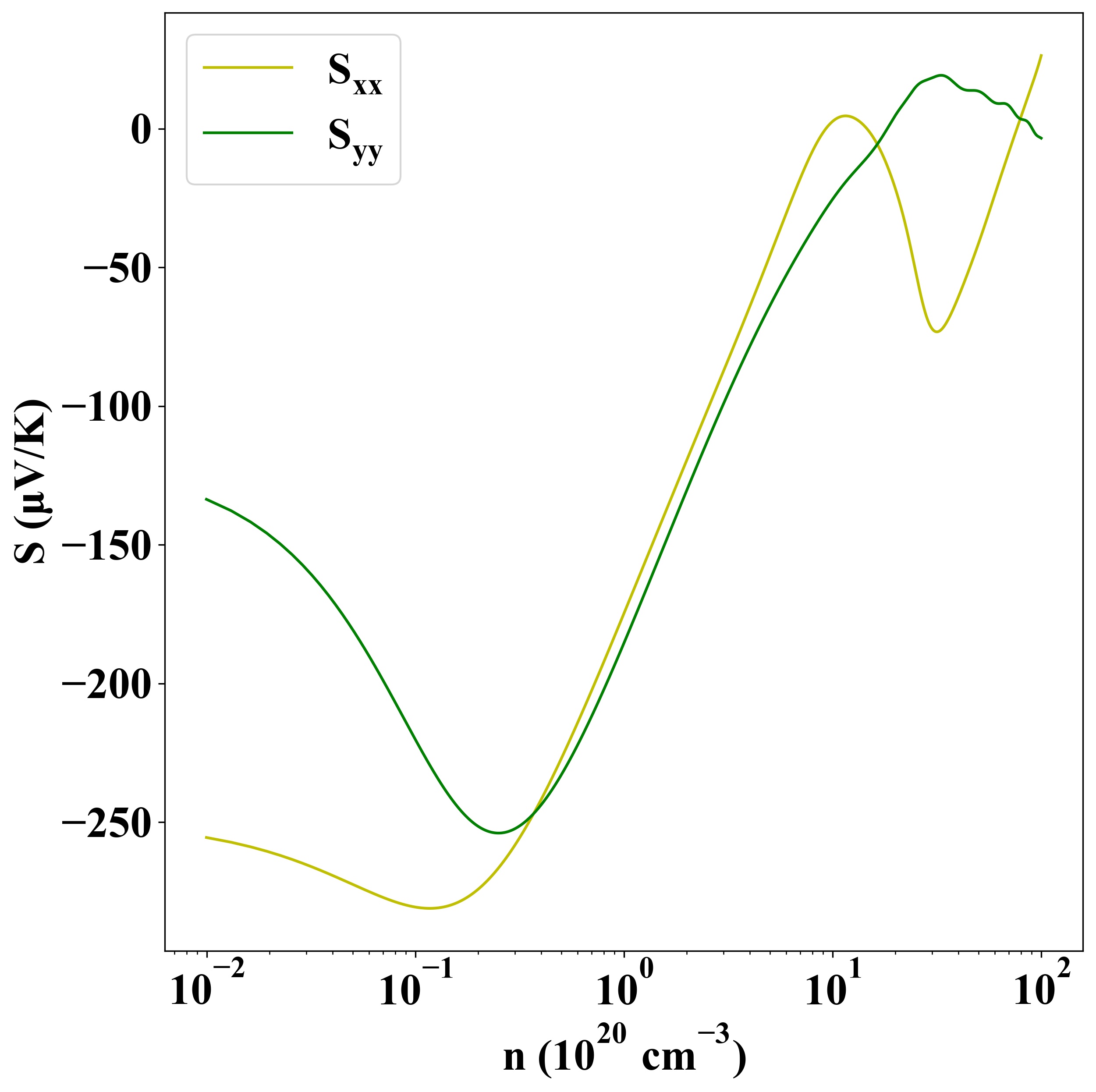
| hole |
81.44 |
137.14 |
1.87 |
-3.86 |
-29.08 |
-144.65 |
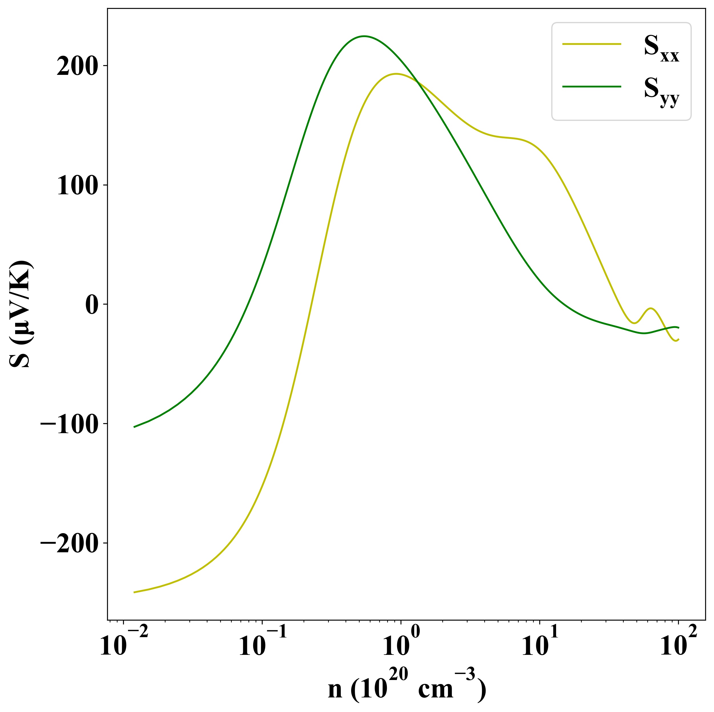
| electron |
2.22 |
-4.11 |
122.74 |
258.20 |
| Property |
Value |
| from where |
c2db-322 |