I2Pt2Se2
MatHub2d-1564-I2Pt2Se2
| Property |
Value |
| Space group |
(59, 'Pmmn') |
| Crystal system |
rectangular |
| Magnetic |
No |
| Band gap (PBE) (eV) |
0.00 |
| Free energy (eV) |
-19.734 |
| Free energy / atom (eV) |
-3.289 |
Lattice Parameters (basic)
| a, b, c (Å): | 3.797 | 5.452 | 30.000 |
| α, β, γ (°): | 90.000 | 90.000 | 90.000 |
Lattice Parameters (computed)
| a, b, c (Å): | 3.763 | 5.466 | 30.000 |
| α, β, γ (°): | 90.000 | 90.000 | 90.000 |
| Property |
Value |
| Band gap |
0.00 eV |
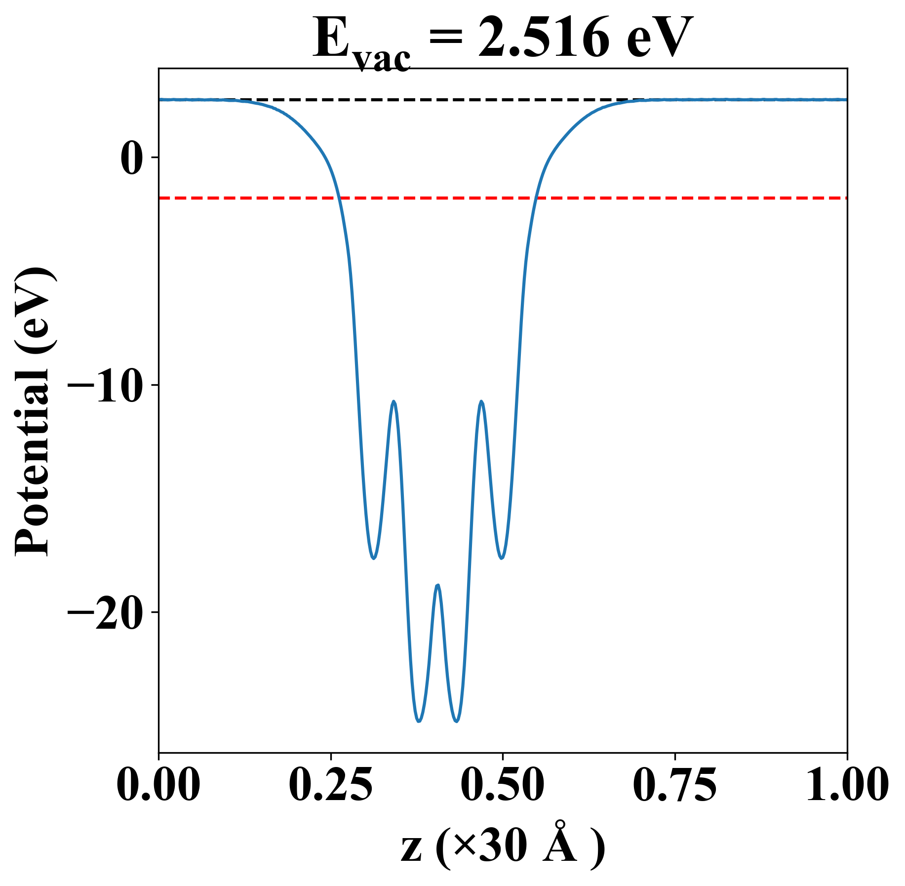
| E-fermi |
-1.807 eV |
| Vacuum level |
2.516 eV |
| VBM |
-1.813 eV |
| CBM |
-1.797 eV |
| Work function |
4.323 eV |
| Direct gap |
No |
| Property |
Value |
| Band gap |
0.00 eV |
| E-fermi |
-1.807 eV |
| Vacuum level |
2.516 eV |
| VBM |
-1.813 eV |
| CBM |
-1.797 eV |
| Work function |
4.323 eV |
| Cij (N/m) |
xx |
yy |
xy |
| xx |
74.776 |
8.006 |
0.000 |
| yy |
8.006 |
55.837 |
0.000 |
| xy |
0.000 |
0.000 |
10.709 |
| Phonon mode at Γ point (THz) |
| Property |
Value |
| from where |
c2db-312 |