I2Pd2Se2
MatHub2d-1562-I2Pd2Se2
| Property |
Value |
| Space group |
(59, 'Pmmn') |
| Crystal system |
rectangular |
| Magnetic |
No |
| Band gap (PBE) (eV) |
0.00 |
| Free energy (eV) |
-18.161 |
| Free energy / atom (eV) |
-3.027 |
Lattice Parameters (basic)
| a, b, c (Å): | 3.817 | 5.263 | 30.000 |
| α, β, γ (°): | 90.000 | 90.000 | 90.000 |
Lattice Parameters (computed)
| a, b, c (Å): | 3.779 | 5.272 | 30.000 |
| α, β, γ (°): | 90.000 | 90.000 | 90.000 |
| Property |
Value |
| Band gap |
0.00 eV |
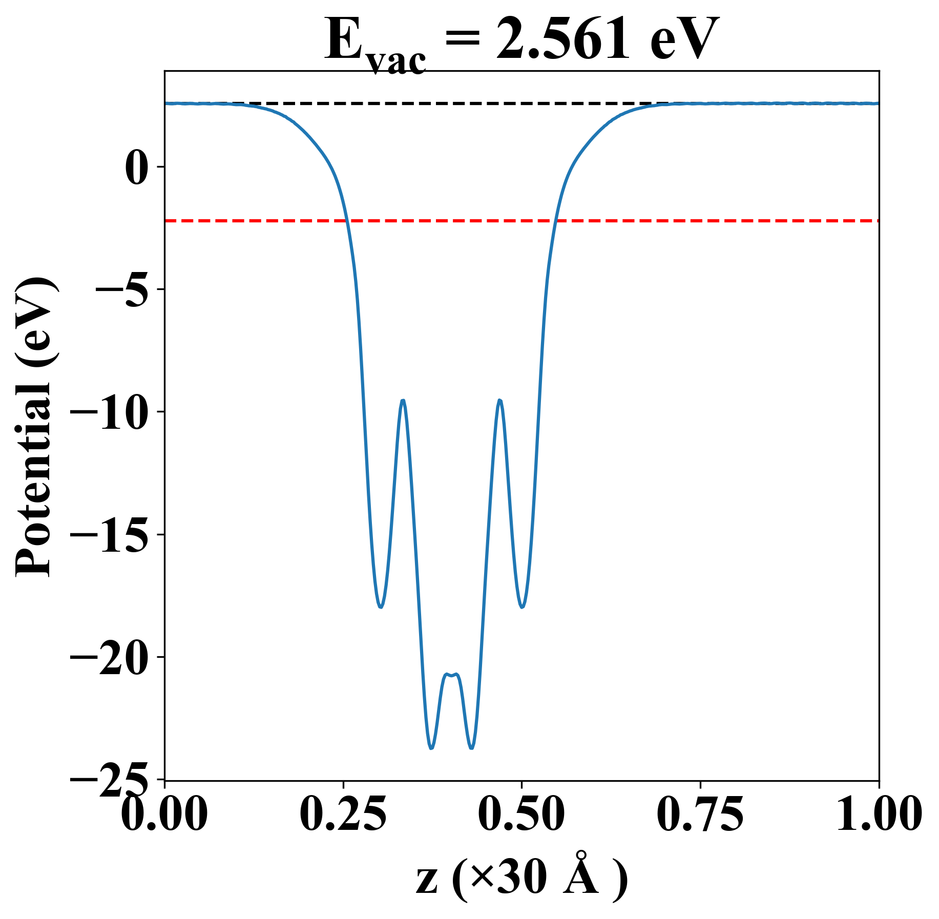
| E-fermi |
-2.215 eV |
| Vacuum level |
2.561 eV |
| VBM |
-2.216 eV |
| CBM |
-2.210 eV |
| Work function |
4.776 eV |
| Direct gap |
No |
| Property |
Value |
| Band gap |
0.00 eV |
| E-fermi |
-2.215 eV |
| Vacuum level |
2.561 eV |
| VBM |
-2.216 eV |
| CBM |
-2.210 eV |
| Work function |
4.776 eV |
| Cij (N/m) |
xx |
yy |
xy |
| xx |
55.583 |
10.915 |
0.000 |
| yy |
10.915 |
40.190 |
0.000 |
| xy |
0.000 |
0.000 |
6.656 |
| Phonon mode at Γ point (THz) |
| Property |
Value |
| from where |
c2db-300 |