I2Pb2Se2
MatHub2d-1560-I2Pb2Se2
| Property |
Value |
| Space group |
(59, 'Pmmn') |
| Crystal system |
rectangular |
| Magnetic |
No |
| Band gap (PBE) (eV) |
0.00 |
| Free energy (eV) |
-18.776 |
| Free energy / atom (eV) |
-3.129 |
Lattice Parameters (basic)
| a, b, c (Å): | 4.219 | 5.861 | 30.000 |
| α, β, γ (°): | 90.000 | 90.000 | 90.000 |
Lattice Parameters (computed)
| a, b, c (Å): | 4.183 | 5.879 | 30.000 |
| α, β, γ (°): | 90.000 | 90.000 | 90.000 |
| Property |
Value |
| Band gap |
0.00 eV |
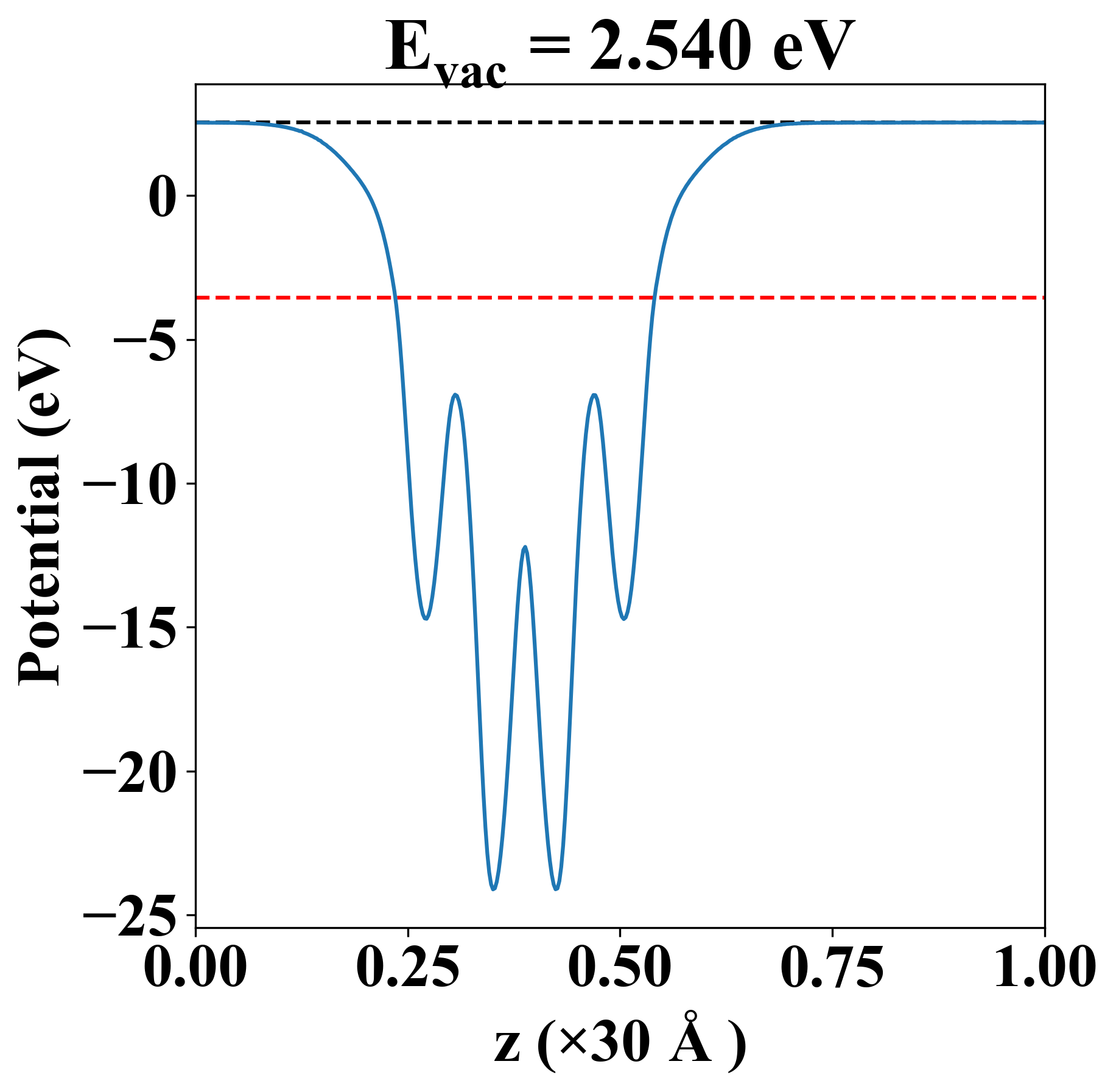
| E-fermi |
-3.536 eV |
| Vacuum level |
2.540 eV |
| VBM |
-3.536 eV |
| CBM |
-3.535 eV |
| Work function |
6.076 eV |
| Direct gap |
No |
| Property |
Value |
| Band gap |
0.00 eV |
| E-fermi |
-3.536 eV |
| Vacuum level |
2.540 eV |
| VBM |
-3.536 eV |
| CBM |
-3.535 eV |
| Work function |
6.076 eV |
| Cij (N/m) |
xx |
yy |
xy |
| xx |
27.869 |
10.532 |
0.000 |
| yy |
10.532 |
26.278 |
0.000 |
| xy |
0.000 |
0.000 |
5.050 |
| Phonon mode at Γ point (THz) |
| Property |
Value |
| from where |
c2db-288 |