I2Pb2S2
MatHub2d-1559-I2Pb2S2
| Property |
Value |
| Space group |
(59, 'Pmmn') |
| Crystal system |
rectangular |
| Magnetic |
No |
| Band gap (PBE) (eV) |
0.00 |
| Free energy (eV) |
-19.838 |
| Free energy / atom (eV) |
-3.306 |
Lattice Parameters (basic)
| a, b, c (Å): | 4.226 | 5.494 | 30.000 |
| α, β, γ (°): | 90.000 | 90.000 | 90.000 |
Lattice Parameters (computed)
| a, b, c (Å): | 4.132 | 5.568 | 30.000 |
| α, β, γ (°): | 90.000 | 90.000 | 90.000 |
| Property |
Value |
| Band gap |
0.00 eV |
| E-fermi |
-3.443 eV |
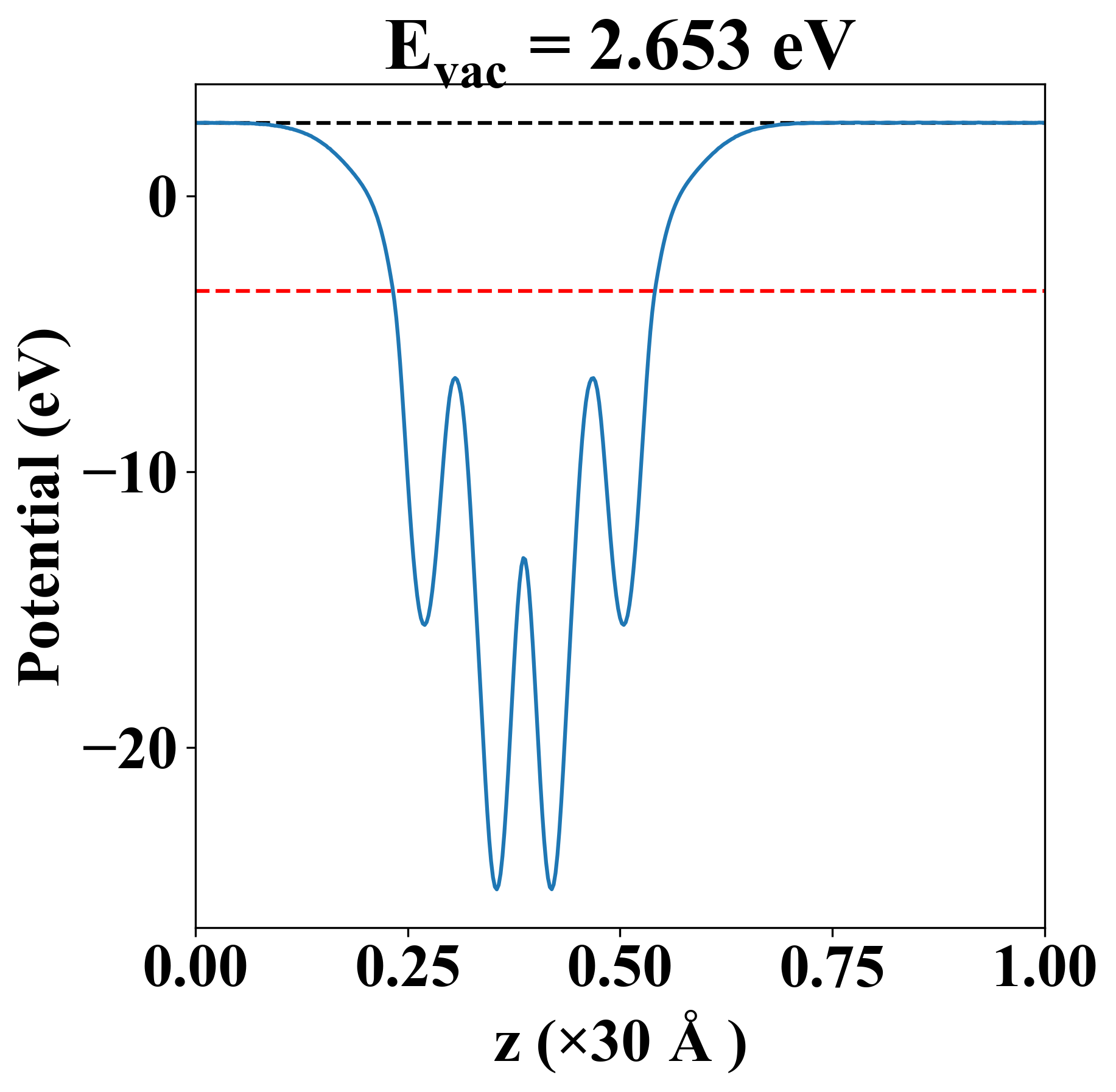
| Vacuum level |
2.653 eV |
| VBM |
-3.444 eV |
| CBM |
-3.443 eV |
| Work function |
6.097 eV |
| Direct gap |
No |
| Property |
Value |
| Band gap |
0.00 eV |
| E-fermi |
-3.443 eV |
| Vacuum level |
2.653 eV |
| VBM |
-3.444 eV |
| CBM |
-3.443 eV |
| Work function |
6.097 eV |
| Cij (N/m) |
xx |
yy |
xy |
| xx |
28.984 |
14.646 |
0.000 |
| yy |
14.646 |
36.051 |
0.000 |
| xy |
0.000 |
0.000 |
6.205 |
| Phonon mode at Γ point (THz) |
| Property |
Value |
| from where |
c2db-287 |