I2O2W2
MatHub2d-1555-I2O2W2
| Property |
Value |
| Space group |
(59, 'Pmmn') |
| Crystal system |
rectangular |
| Magnetic |
Yes |
| Band gap (PBE) (eV) |
0.00 |
| Free energy (eV) |
-37.011 |
| Free energy / atom (eV) |
-6.169 |
Lattice Parameters (basic)
| a, b, c (Å): | 3.271 | 4.058 | 30.000 |
| α, β, γ (°): | 90.000 | 90.000 | 90.000 |
Lattice Parameters (computed)
| a, b, c (Å): | 3.504 | 4.092 | 30.000 |
| α, β, γ (°): | 90.000 | 90.000 | 90.000 |
| Property |
Value |
| Band gap |
0.00 eV |
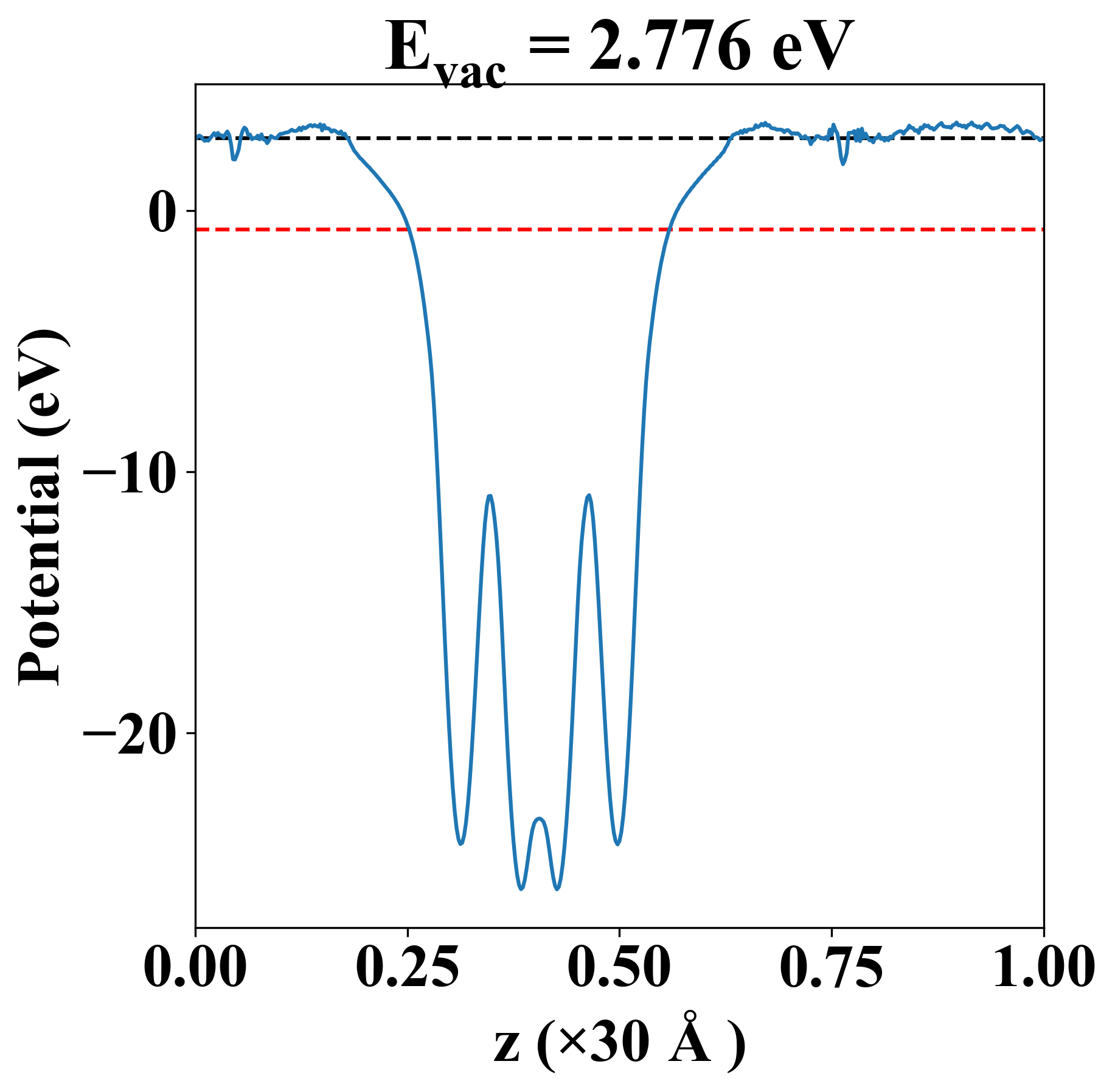
| E-fermi |
-0.720 eV |
| Vacuum level |
2.776 eV |
| VBM |
-0.722 eV |
| CBM |
-0.718 eV |
| Work function |
3.496 eV |
| Direct gap |
No |
| Property |
Value |
| Band gap |
0.00 eV |
| E-fermi |
-0.720 eV |
| Vacuum level |
2.776 eV |
| VBM |
-0.722 eV |
| CBM |
-0.718 eV |
| Work function |
3.496 eV |
| Property |
Value |
| from where |
c2db-430 |