I2O2V2
MatHub2d-1554-I2O2V2
| Property |
Value |
| Space group |
(59, 'Pmmn') |
| Crystal system |
rectangular |
| Magnetic |
Yes |
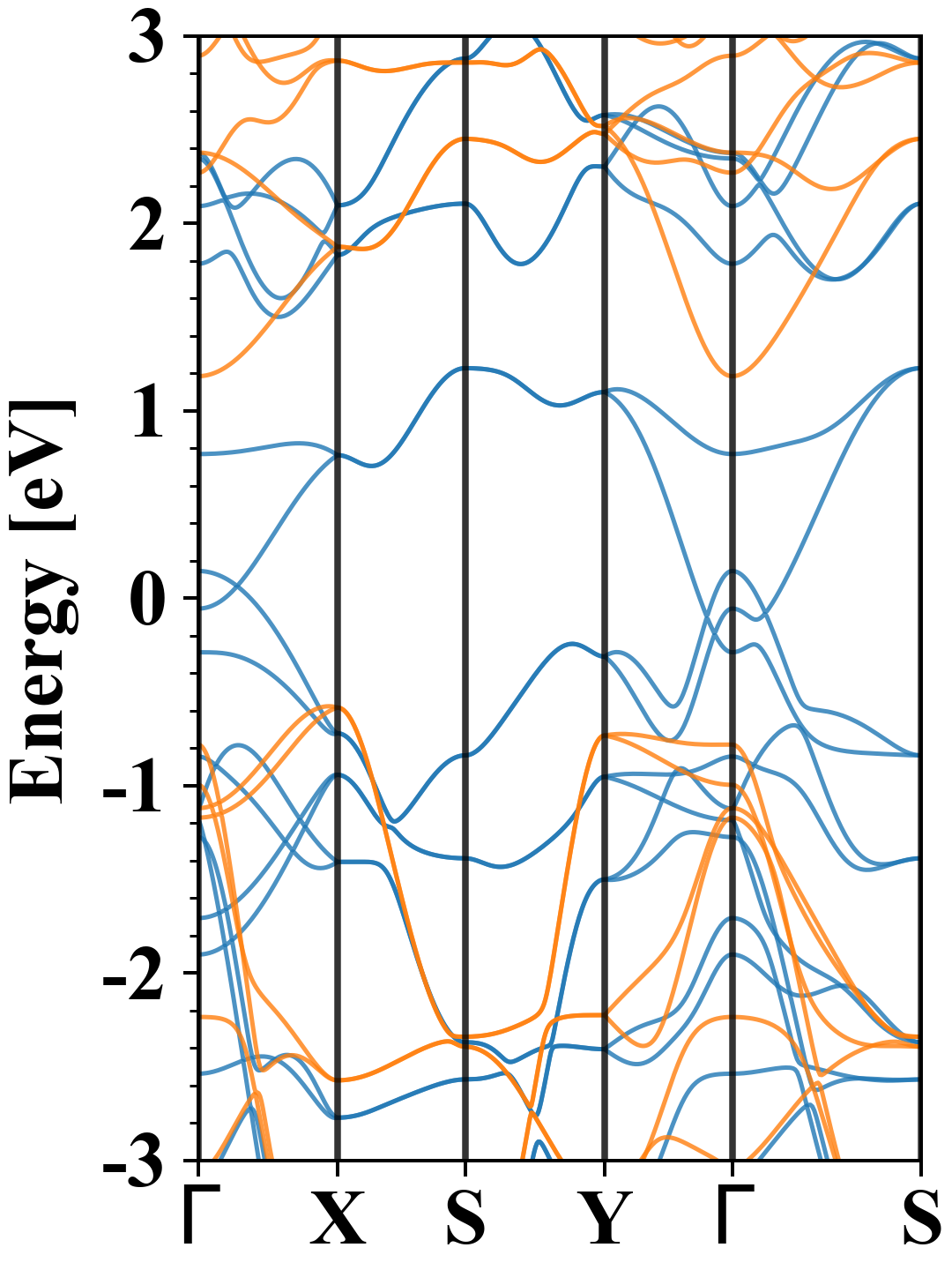
| Band gap (PBE) (eV) |
0.00 |
| Free energy (eV) |
-35.552 |
| Free energy / atom (eV) |
-5.925 |
Lattice Parameters (basic)
| a, b, c (Å): | 3.594 | 3.890 | 30.000 |
| α, β, γ (°): | 90.000 | 90.000 | 90.000 |
Lattice Parameters (computed)
| a, b, c (Å): | 3.604 | 3.932 | 30.000 |
| α, β, γ (°): | 90.000 | 90.000 | 90.000 |
| Property |
Value |
| Band gap |
0.00 eV |
| E-fermi |
-2.142 eV |
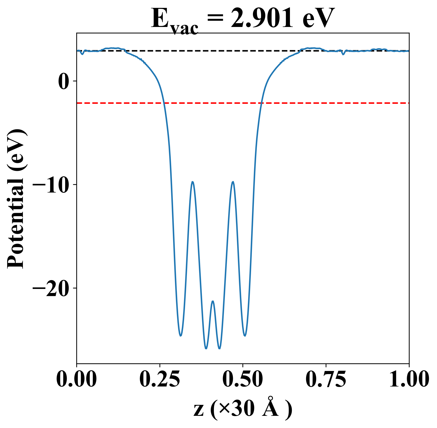
| Vacuum level |
2.901 eV |
| VBM |
-2.145 eV |
| CBM |
-2.141 eV |
| Work function |
5.043 eV |
| Direct gap |
No |
| Property |
Value |
| Band gap |
0.00 eV |
| E-fermi |
-2.142 eV |
| Vacuum level |
2.901 eV |
| VBM |
-2.145 eV |
| CBM |
-2.141 eV |
| Work function |
5.043 eV |
| Property |
Value |
| from where |
c2db-415 |