I2O2Ti2
MatHub2d-1552-I2O2Ti2
| Property |
Value |
| Space group |
(59, 'Pmmn') |
| Crystal system |
rectangular |
| Magnetic |
Yes |
| Band gap (PBE) (eV) |
1.51 |
| Free energy (eV) |
-35.445 |
| Free energy / atom (eV) |
-5.907 |
Lattice Parameters (basic)
| a, b, c (Å): | 3.567 | 4.102 | 30.000 |
| α, β, γ (°): | 90.000 | 90.000 | 90.000 |
Lattice Parameters (computed)
| a, b, c (Å): | 3.764 | 3.912 | 30.000 |
| α, β, γ (°): | 90.000 | 90.000 | 90.000 |
| Property |
Value |
| Band gap |
1.51 eV |
| E-fermi |
-2.343 eV |
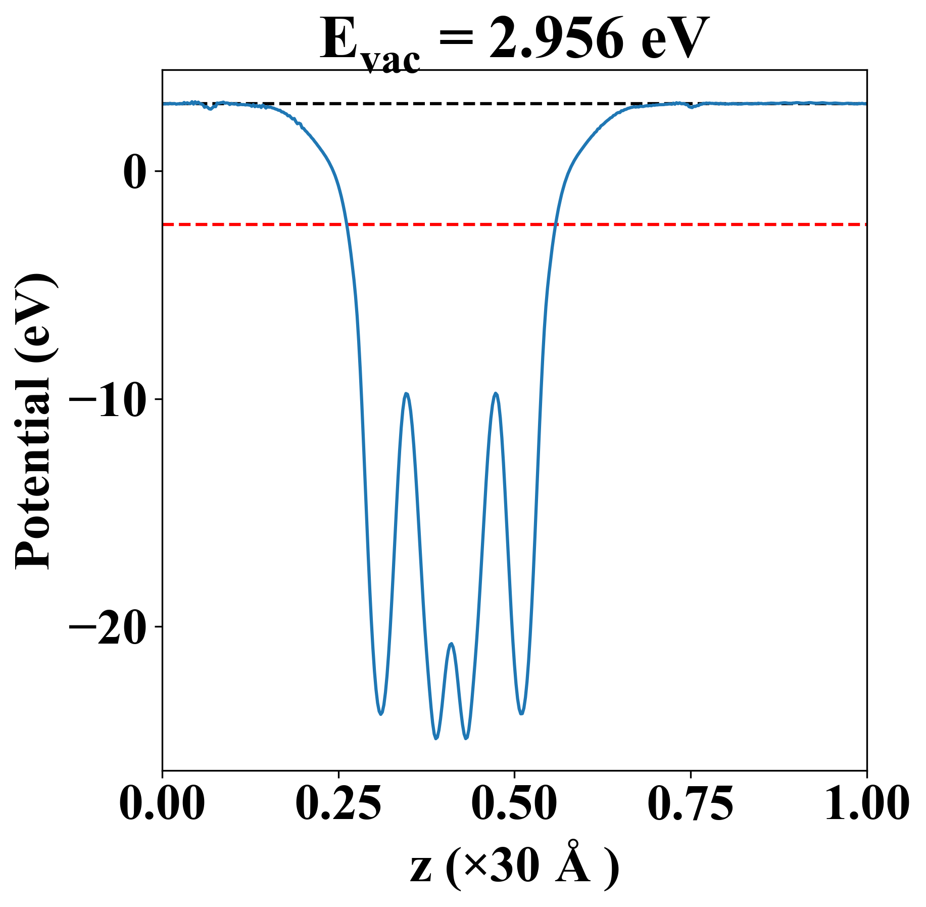
| Vacuum level |
2.956 eV |
| VBM |
-2.687 eV |
| CBM |
-1.172 eV |
| Work function |
5.298 eV |
| Direct gap |
No |
| Property |
Value |
| Band gap |
1.49 eV |
| E-fermi |
-2.422 eV |
| VBM |
-2.651 eV |
| CBM |
-1.161 eV |
| Free energy (eV) |
-35.711 |
| Free energy / atom (eV) |
-5.952 |
| Property |
Value |
| Band gap |
1.51 eV |
| E-fermi |
-2.343 eV |
| Vacuum level |
2.956 eV |
| VBM |
-2.687 eV |
| CBM |
-1.172 eV |
| Work function |
5.298 eV |
| Cij (N/m) |
xx |
yy |
xy |
| xx |
71.650 |
45.168 |
0.000 |
| yy |
45.168 |
72.800 |
0.000 |
| xy |
0.000 |
0.000 |
23.474 |
| Phonon mode at Γ point (THz) |
| Property |
Value |
| from where |
c2db-385 |