I2O2Sn2
MatHub2d-1550-I2O2Sn2
| Property |
Value |
| Space group |
(59, 'Pmmn') |
| Crystal system |
rectangular |
| Magnetic |
No |
| Band gap (PBE) (eV) |
0.00 |
| Free energy (eV) |
-26.013 |
| Free energy / atom (eV) |
-4.335 |
Lattice Parameters (basic)
| a, b, c (Å): | 3.829 | 4.129 | 30.000 |
| α, β, γ (°): | 90.000 | 90.000 | 90.000 |
Lattice Parameters (computed)
| a, b, c (Å): | 3.813 | 4.109 | 30.000 |
| α, β, γ (°): | 90.000 | 90.000 | 90.000 |
| Property |
Value |
| Band gap |
0.00 eV |
| E-fermi |
-1.874 eV |
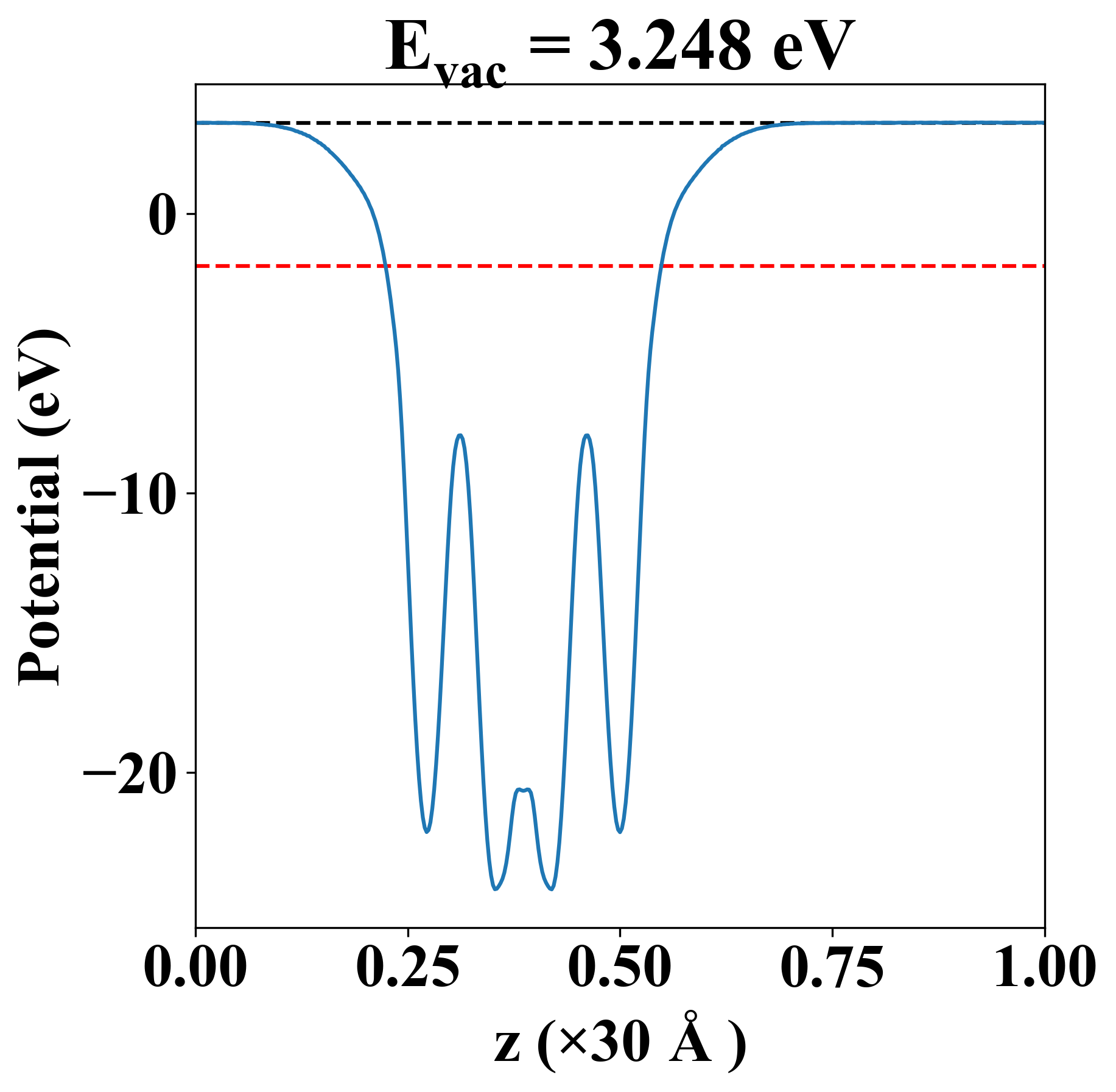
| Vacuum level |
3.248 eV |
| VBM |
-1.878 eV |
| CBM |
-1.873 eV |
| Work function |
5.122 eV |
| Direct gap |
No |
| Property |
Value |
| Band gap |
0.00 eV |
| E-fermi |
-1.874 eV |
| Vacuum level |
3.248 eV |
| VBM |
-1.878 eV |
| CBM |
-1.873 eV |
| Work function |
5.122 eV |
| Cij (N/m) |
xx |
yy |
xy |
| xx |
64.662 |
6.853 |
0.000 |
| yy |
6.853 |
50.210 |
0.000 |
| xy |
0.000 |
0.000 |
20.878 |
| Phonon mode at Γ point (THz) |
| -0.014 |
| -0.013 |
| -0.009 |
| 0.396 |
| 0.522 |
| 1.555 |
| 2.433 |
| 2.559 |
| 2.966 |
| 3.674 |
| 3.795 |
| 4.678 |
| 6.040 |
| 6.805 |
| 7.990 |
| 8.252 |
| 9.276 |
| 13.017 |
| Property |
Value |
| from where |
c2db-361 |