I2O2Sc2
MatHub2d-1549-I2O2Sc2
| Property |
Value |
| Space group |
(59, 'Pmmn') |
| Crystal system |
rectangular |
| Magnetic |
No |
| Band gap (PBE) (eV) |
2.49 |
| Free energy (eV) |
-38.339 |
| Free energy / atom (eV) |
-6.390 |
Lattice Parameters (basic)
| a, b, c (Å): | 3.719 | 4.005 | 30.000 |
| α, β, γ (°): | 90.000 | 90.000 | 90.000 |
Lattice Parameters (computed)
| a, b, c (Å): | 3.766 | 4.070 | 30.000 |
| α, β, γ (°): | 90.000 | 90.000 | 90.000 |
| Property |
Value |
| Band gap |
2.49 eV |
| E-fermi |
-2.779 eV |
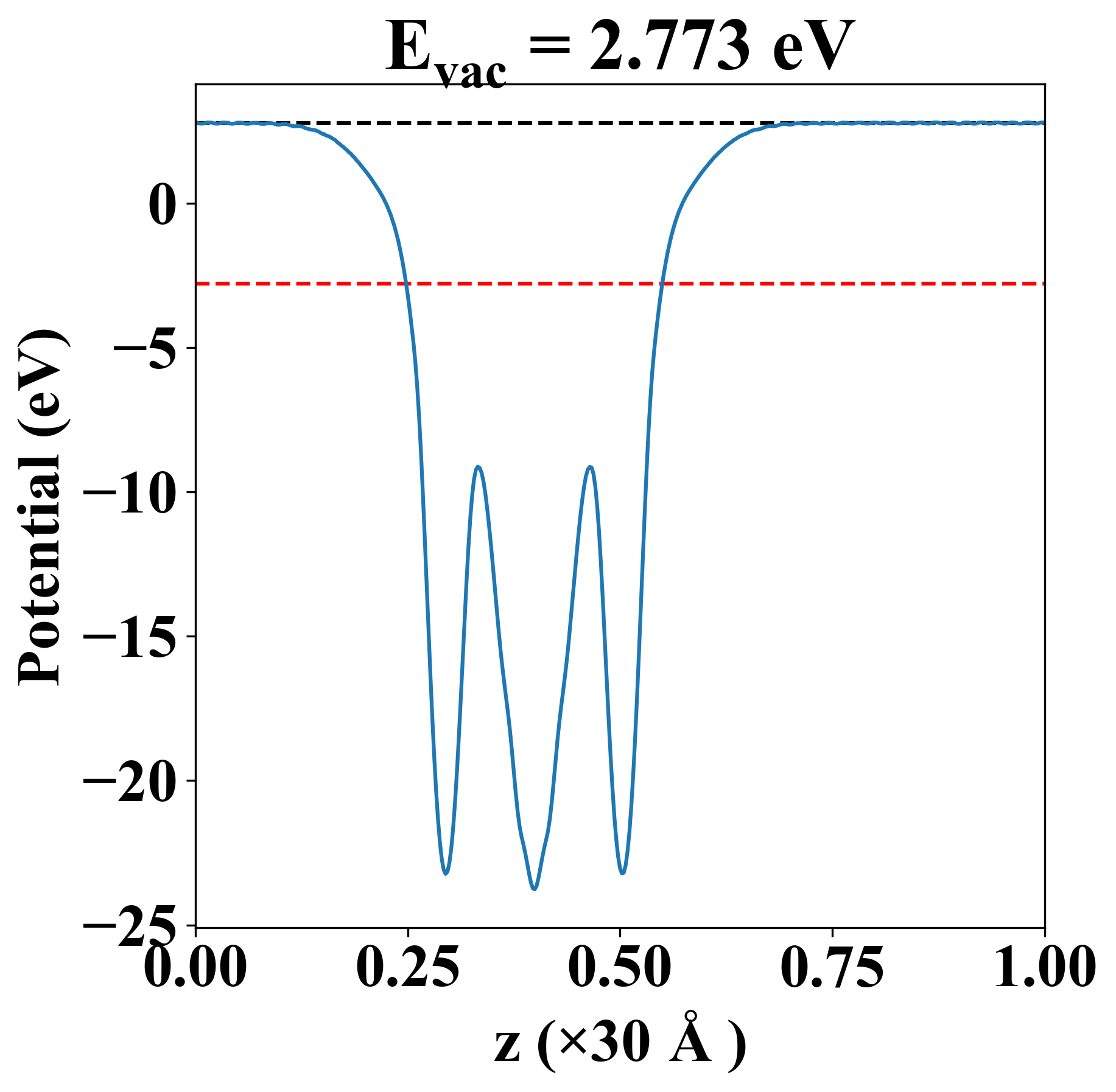
| Vacuum level |
2.773 eV |
| VBM |
-3.129 eV |
| CBM |
-0.643 eV |
| Work function |
5.552 eV |
| Direct gap |
No |
| Property |
Value |
| Band gap |
2.46 eV |
| E-fermi |
-2.812 eV |
| VBM |
-3.087 eV |
| CBM |
-0.624 eV |
| Free energy (eV) |
-38.600 |
| Free energy / atom (eV) |
-6.433 |
| Property |
Value |
| Band gap |
2.49 eV |
| E-fermi |
-2.779 eV |
| Vacuum level |
2.773 eV |
| VBM |
-3.129 eV |
| CBM |
-0.643 eV |
| Work function |
5.552 eV |
| Cij (N/m) |
xx |
yy |
xy |
| xx |
106.603 |
29.565 |
0.000 |
| yy |
29.565 |
95.417 |
0.000 |
| xy |
0.000 |
0.000 |
43.896 |
| Phonon mode at Γ point (THz) |
| Property |
Value |
| from where |
c2db-349 |