I2O2Ru2
MatHub2d-1548-I2O2Ru2
| Property |
Value |
| Space group |
(59, 'Pmmn') |
| Crystal system |
rectangular |
| Magnetic |
Yes |
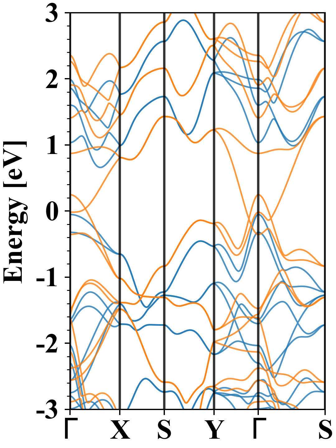
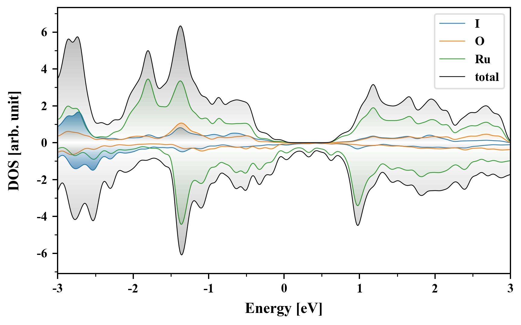
| Band gap (PBE) (eV) |
0.00 |
| Free energy (eV) |
-27.413 |
| Free energy / atom (eV) |
-4.569 |
Lattice Parameters (basic)
| a, b, c (Å): | 3.681 | 3.914 | 30.000 |
| α, β, γ (°): | 90.000 | 90.000 | 90.000 |
Lattice Parameters (computed)
| a, b, c (Å): | 3.574 | 4.038 | 30.000 |
| α, β, γ (°): | 90.000 | 90.000 | 90.000 |
| Property |
Value |
| Band gap |
0.00 eV |
| E-fermi |
-1.607 eV |
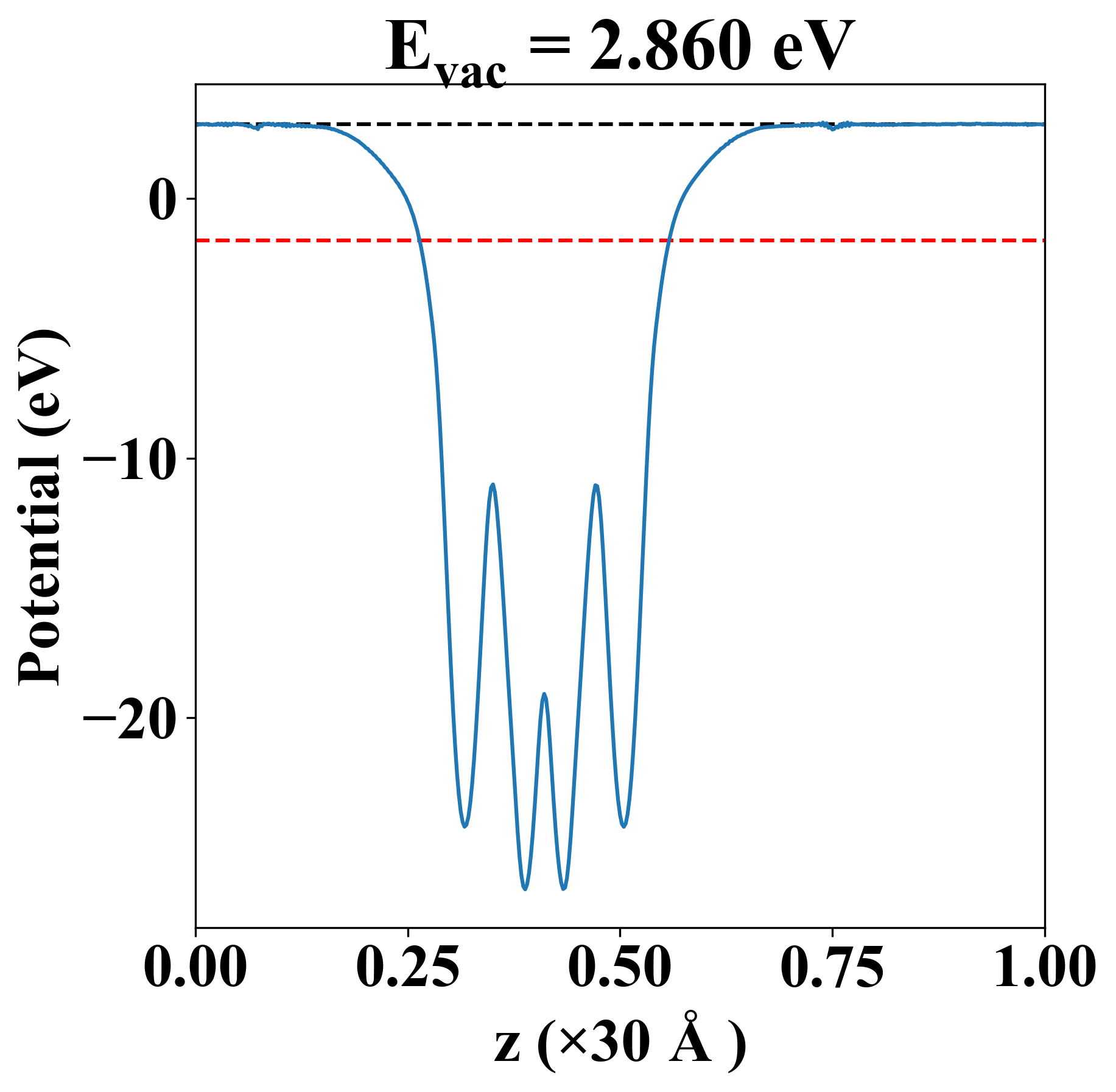
| Vacuum level |
2.860 eV |
| VBM |
-1.607 eV |
| CBM |
-1.607 eV |
| Work function |
4.467 eV |
| Direct gap |
No |
| Property |
Value |
| Band gap |
0.00 eV |
| E-fermi |
-1.607 eV |
| Vacuum level |
2.860 eV |
| VBM |
-1.607 eV |
| CBM |
-1.607 eV |
| Work function |
4.467 eV |
| Cij (N/m) |
xx |
yy |
xy |
| xx |
54.213 |
28.719 |
0.000 |
| yy |
28.719 |
130.484 |
0.000 |
| xy |
0.000 |
0.000 |
-10.767 |
| Phonon mode at Γ point (THz) |
| -4.793 |
| -4.241 |
| -0.017 |
| -0.007 |
| -0.001 |
| 1.292 |
| 1.480 |
| 2.292 |
| 2.852 |
| 3.390 |
| 4.446 |
| 5.004 |
| 5.187 |
| 5.308 |
| 8.587 |
| 9.371 |
| 11.699 |
| 13.046 |
| Property |
Value |
| from where |
c2db-334 |