I2O2Os2
MatHub2d-1543-I2O2Os2
| Property |
Value |
| Space group |
(59, 'Pmmn') |
| Crystal system |
rectangular |
| Magnetic |
Yes |
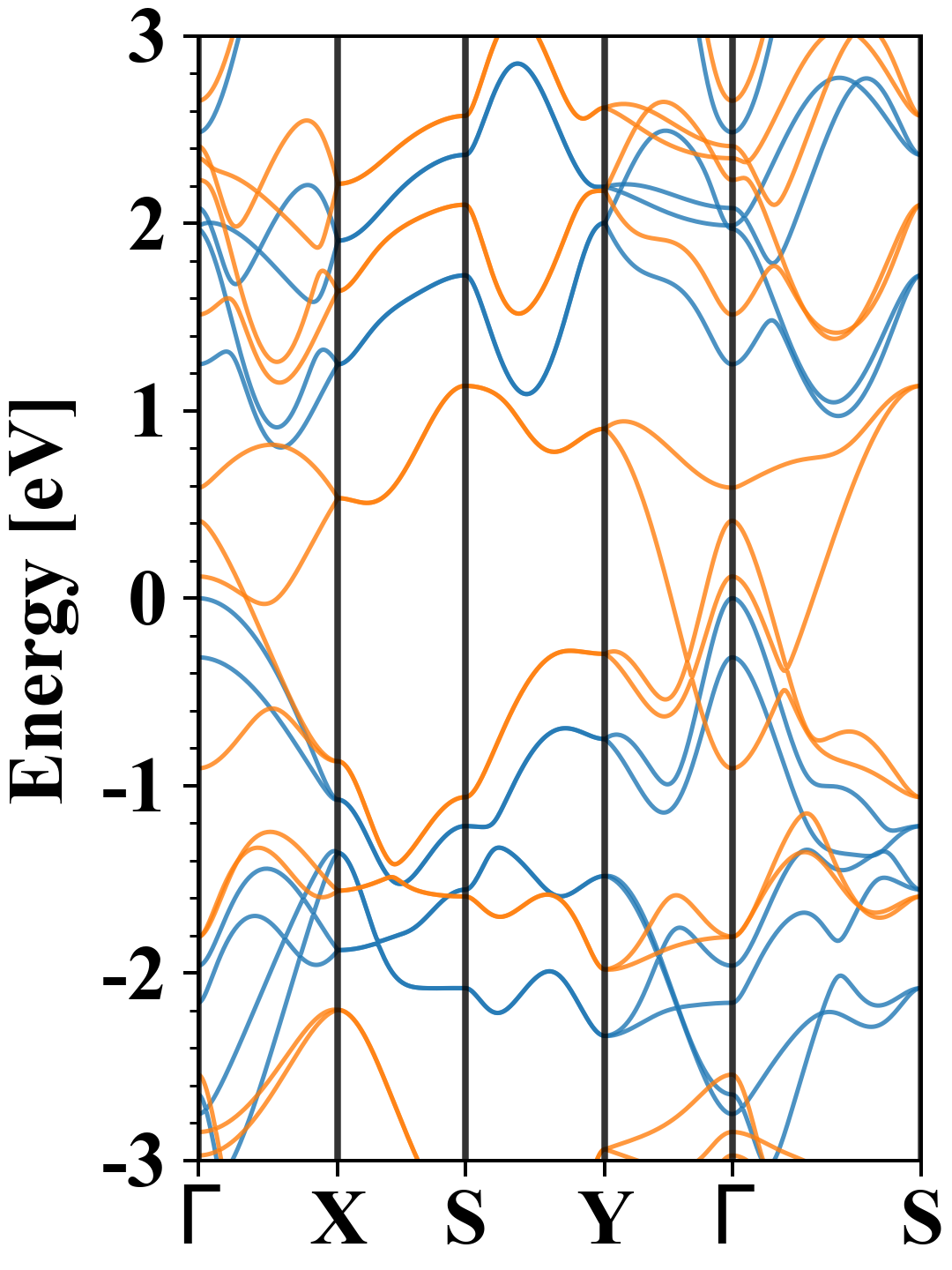
| Band gap (PBE) (eV) |
0.00 |
| Free energy (eV) |
-30.048 |
| Free energy / atom (eV) |
-5.008 |
Lattice Parameters (basic)
| a, b, c (Å): | 3.754 | 3.928 | 30.000 |
| α, β, γ (°): | 90.000 | 90.000 | 90.000 |
Lattice Parameters (computed)
| a, b, c (Å): | 3.690 | 4.059 | 30.000 |
| α, β, γ (°): | 90.000 | 90.000 | 90.000 |
| Property |
Value |
| Band gap |
0.00 eV |
| E-fermi |
-1.355 eV |
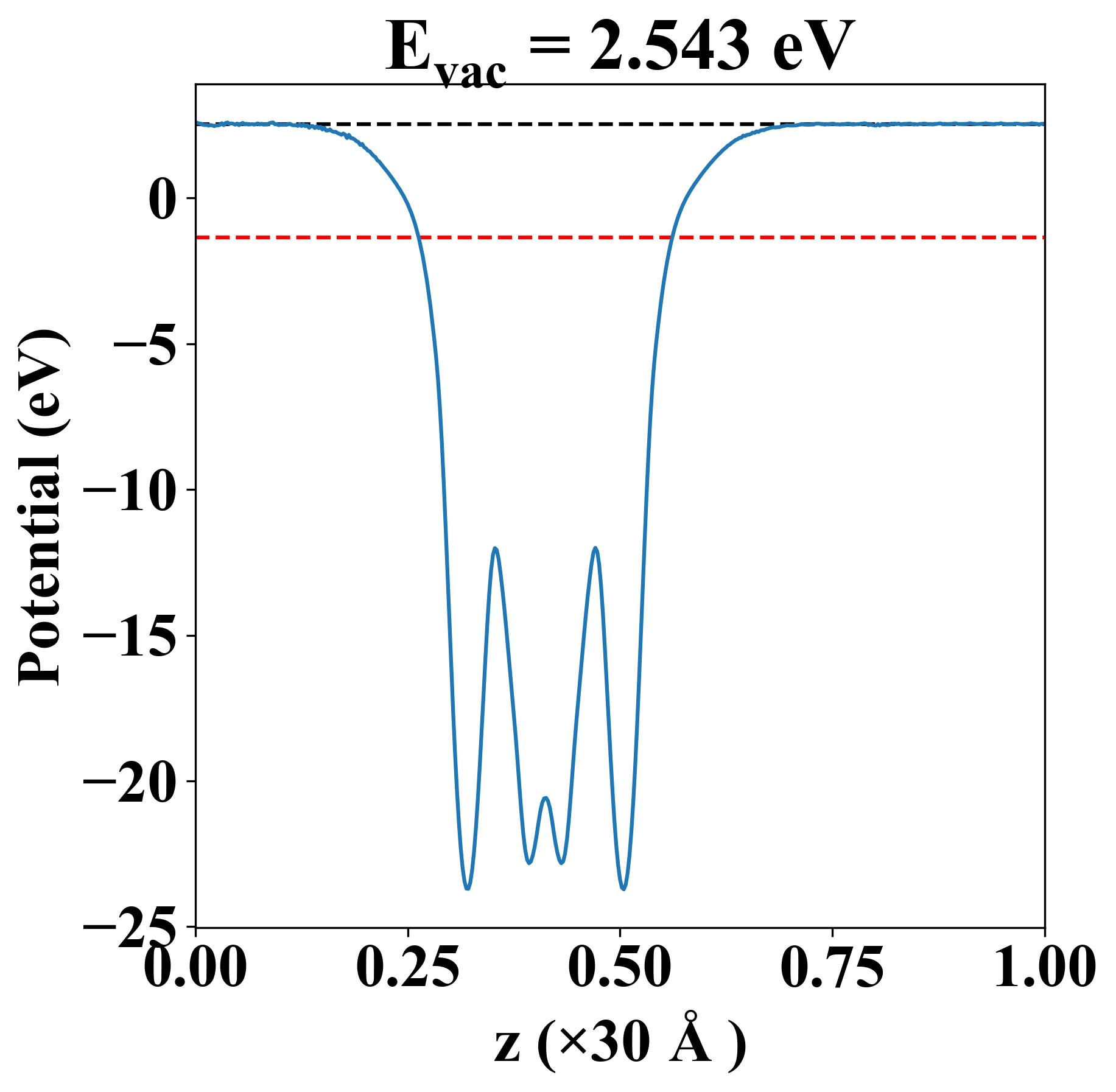
| Vacuum level |
2.543 eV |
| VBM |
-1.356 eV |
| CBM |
-1.353 eV |
| Work function |
3.898 eV |
| Direct gap |
No |
| Property |
Value |
| Band gap |
0.00 eV |
| E-fermi |
-1.355 eV |
| Vacuum level |
2.543 eV |
| VBM |
-1.356 eV |
| CBM |
-1.353 eV |
| Work function |
3.898 eV |
| Cij (N/m) |
xx |
yy |
xy |
| xx |
81.698 |
28.136 |
0.000 |
| yy |
28.136 |
132.585 |
0.000 |
| xy |
0.000 |
0.000 |
-18.941 |
| Phonon mode at Γ point (THz) |
| -3.767 |
| -1.846 |
| -0.328 |
| -0.005 |
| -0.002 |
| 0.006 |
| 1.690 |
| 2.244 |
| 2.619 |
| 4.296 |
| 4.380 |
| 4.738 |
| 4.889 |
| 5.186 |
| 9.442 |
| 10.201 |
| 12.873 |
| 12.920 |
| Property |
Value |
| from where |
c2db-274 |