I2Ni2O2
MatHub2d-1540-I2Ni2O2
| Property |
Value |
| Space group |
(59, 'Pmmn') |
| Crystal system |
rectangular |
| Magnetic |
Yes |
| Band gap (PBE) (eV) |
0.00 |
| Free energy (eV) |
-22.073 |
| Free energy / atom (eV) |
-3.679 |
Lattice Parameters (basic)
| a, b, c (Å): | 3.394 | 3.786 | 30.000 |
| α, β, γ (°): | 90.000 | 90.000 | 90.000 |
Lattice Parameters (computed)
| a, b, c (Å): | 3.105 | 3.927 | 30.000 |
| α, β, γ (°): | 90.000 | 90.000 | 90.000 |
| Property |
Value |
| Band gap |
0.00 eV |
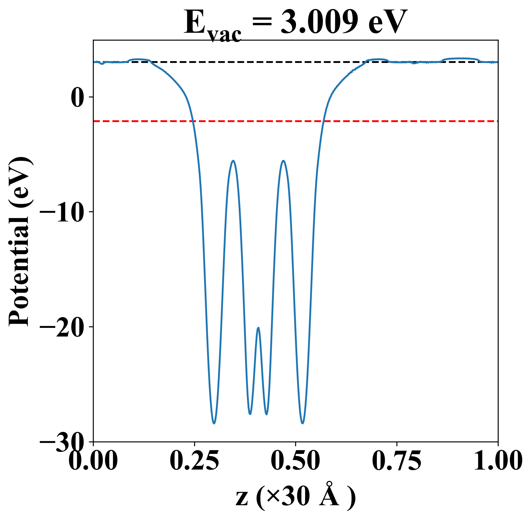
| E-fermi |
-2.133 eV |
| Vacuum level |
3.009 eV |
| VBM |
-2.134 eV |
| CBM |
-2.132 eV |
| Work function |
5.142 eV |
| Direct gap |
No |
| Property |
Value |
| Band gap |
0.00 eV |
| E-fermi |
-2.133 eV |
| Vacuum level |
3.009 eV |
| VBM |
-2.134 eV |
| CBM |
-2.132 eV |
| Work function |
5.142 eV |
| Cij (N/m) |
xx |
yy |
xy |
| xx |
109.286 |
29.435 |
0.000 |
| yy |
29.435 |
88.720 |
0.000 |
| xy |
0.000 |
0.000 |
23.269 |
| Phonon mode at Γ point (THz) |
| Property |
Value |
| from where |
c2db-256 |