I2Nb2S2
MatHub2d-1538-I2Nb2S2
| Property |
Value |
| Space group |
(59, 'Pmmn') |
| Crystal system |
rectangular |
| Magnetic |
|
| Band gap (PBE) (eV) |
0.00 |
| Free energy (eV) |
-32.746 |
| Free energy / atom (eV) |
-5.458 |
Lattice Parameters (basic)
| a, b, c (Å): | 3.602 | 4.800 | 30.000 |
| α, β, γ (°): | 90.000 | 90.000 | 90.000 |
Lattice Parameters (computed)
| a, b, c (Å): | 3.606 | 4.818 | 30.000 |
| α, β, γ (°): | 90.000 | 90.000 | 90.000 |
| Property |
Value |
| Band gap |
0.00 eV |
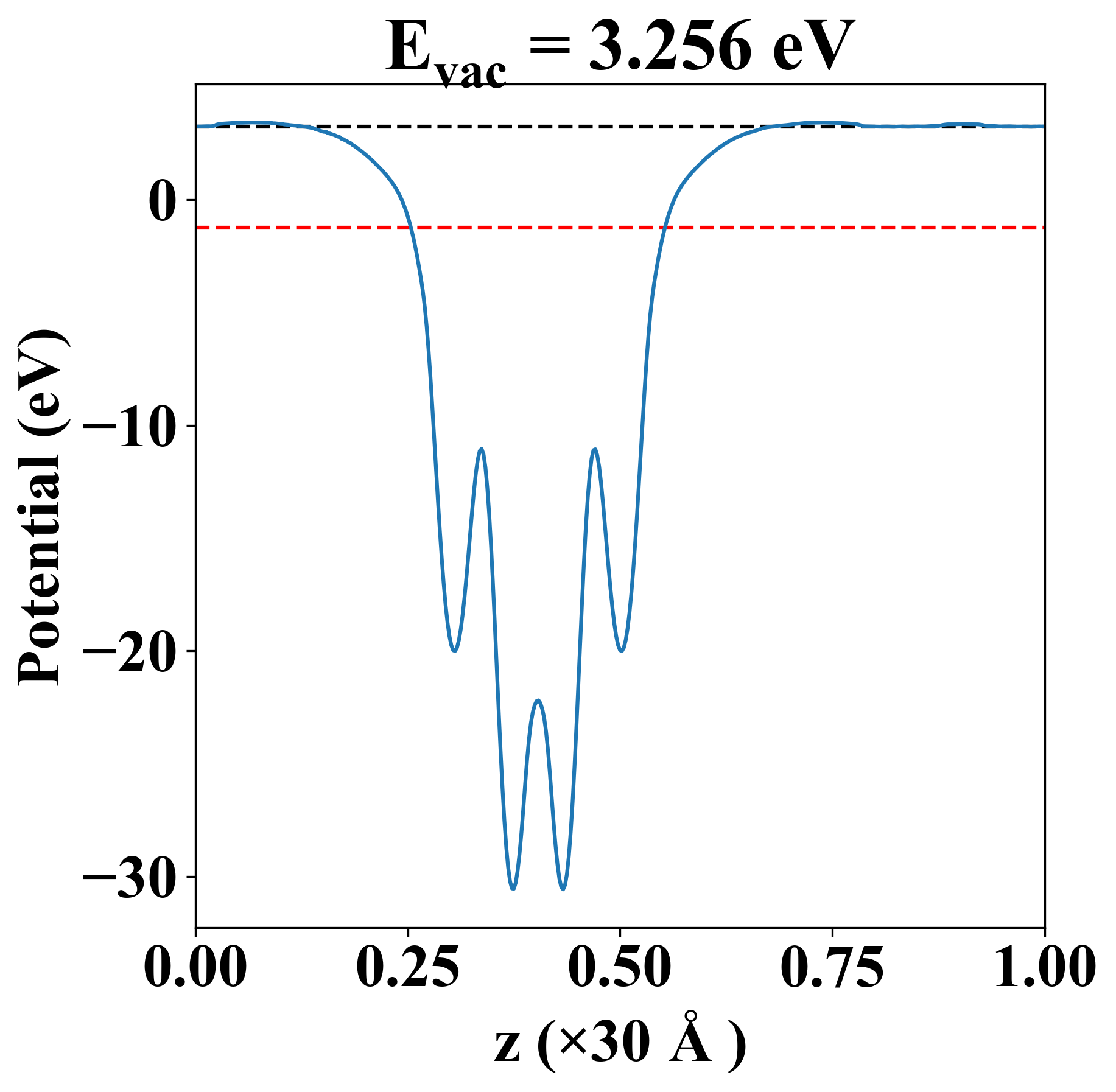
| E-fermi |
-1.242 eV |
| Vacuum level |
3.256 eV |
| VBM |
-1.243 eV |
| CBM |
-1.235 eV |
| Work function |
4.497 eV |
| Direct gap |
No |
| Property |
Value |
| Band gap |
0.00 eV |
| E-fermi |
-1.242 eV |
| Vacuum level |
3.256 eV |
| VBM |
-1.243 eV |
| CBM |
-1.235 eV |
| Work function |
4.497 eV |
| Cij (N/m) |
xx |
yy |
xy |
| xx |
78.222 |
2.924 |
0.000 |
| yy |
2.924 |
172.370 |
0.000 |
| xy |
0.000 |
0.000 |
23.286 |
| Phonon mode at Γ point (THz) |
| Property |
Value |
| from where |
c2db-247 |