I2N2Tl2
MatHub2d-1533-I2N2Tl2
| Property |
Value |
| Space group |
(59, 'Pmmn') |
| Crystal system |
rectangular |
| Magnetic |
Yes |
| Band gap (PBE) (eV) |
0.00 |
| Free energy (eV) |
-18.752 |
| Free energy / atom (eV) |
-3.125 |
Lattice Parameters (basic)
| a, b, c (Å): | 3.865 | 4.274 | 30.000 |
| α, β, γ (°): | 90.000 | 90.000 | 90.000 |
Lattice Parameters (computed)
| a, b, c (Å): | 3.839 | 4.329 | 30.000 |
| α, β, γ (°): | 90.000 | 90.000 | 90.000 |
| Property |
Value |
| Band gap |
0.00 eV |
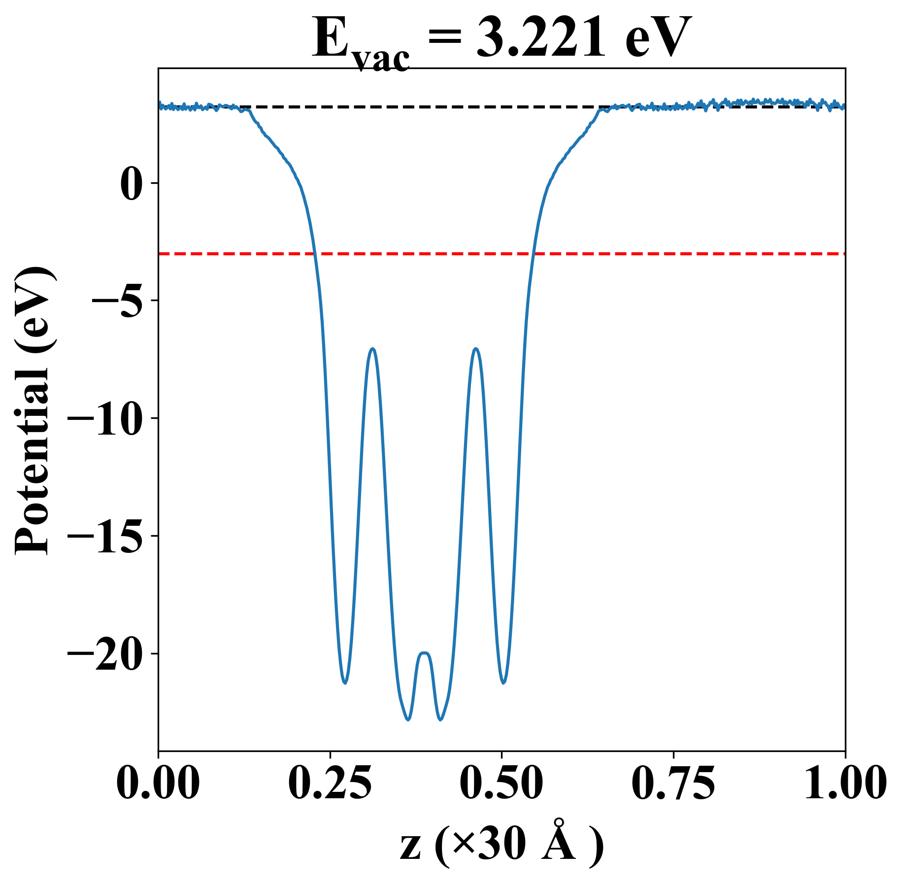
| E-fermi |
-3.016 eV |
| Vacuum level |
3.221 eV |
| VBM |
-3.016 eV |
| CBM |
-3.016 eV |
| Work function |
6.237 eV |
| Direct gap |
No |
| Property |
Value |
| Band gap |
0.00 eV |
| E-fermi |
-3.016 eV |
| Vacuum level |
3.221 eV |
| VBM |
-3.016 eV |
| CBM |
-3.016 eV |
| Work function |
6.237 eV |
| Cij (N/m) |
xx |
yy |
xy |
| xx |
49.928 |
32.670 |
0.000 |
| yy |
32.670 |
50.782 |
0.000 |
| xy |
0.000 |
0.000 |
8.209 |
| Phonon mode at Γ point (THz) |
| Property |
Value |
| from where |
c2db-396 |