I2N2Ti2
MatHub2d-1532-I2N2Ti2
| Property |
Value |
| Space group |
(59, 'Pmmn') |
| Crystal system |
rectangular |
| Magnetic |
No |
| Band gap (PBE) (eV) |
0.64 |
| Free energy (eV) |
-36.214 |
| Free energy / atom (eV) |
-6.036 |
Lattice Parameters (basic)
| a, b, c (Å): | 3.534 | 3.963 | 30.000 |
| α, β, γ (°): | 90.000 | 90.000 | 90.000 |
Lattice Parameters (computed)
| a, b, c (Å): | 3.566 | 4.016 | 30.000 |
| α, β, γ (°): | 90.000 | 90.000 | 90.000 |
| Property |
Value |
| Band gap |
0.64 eV |
| E-fermi |
-1.959 eV |
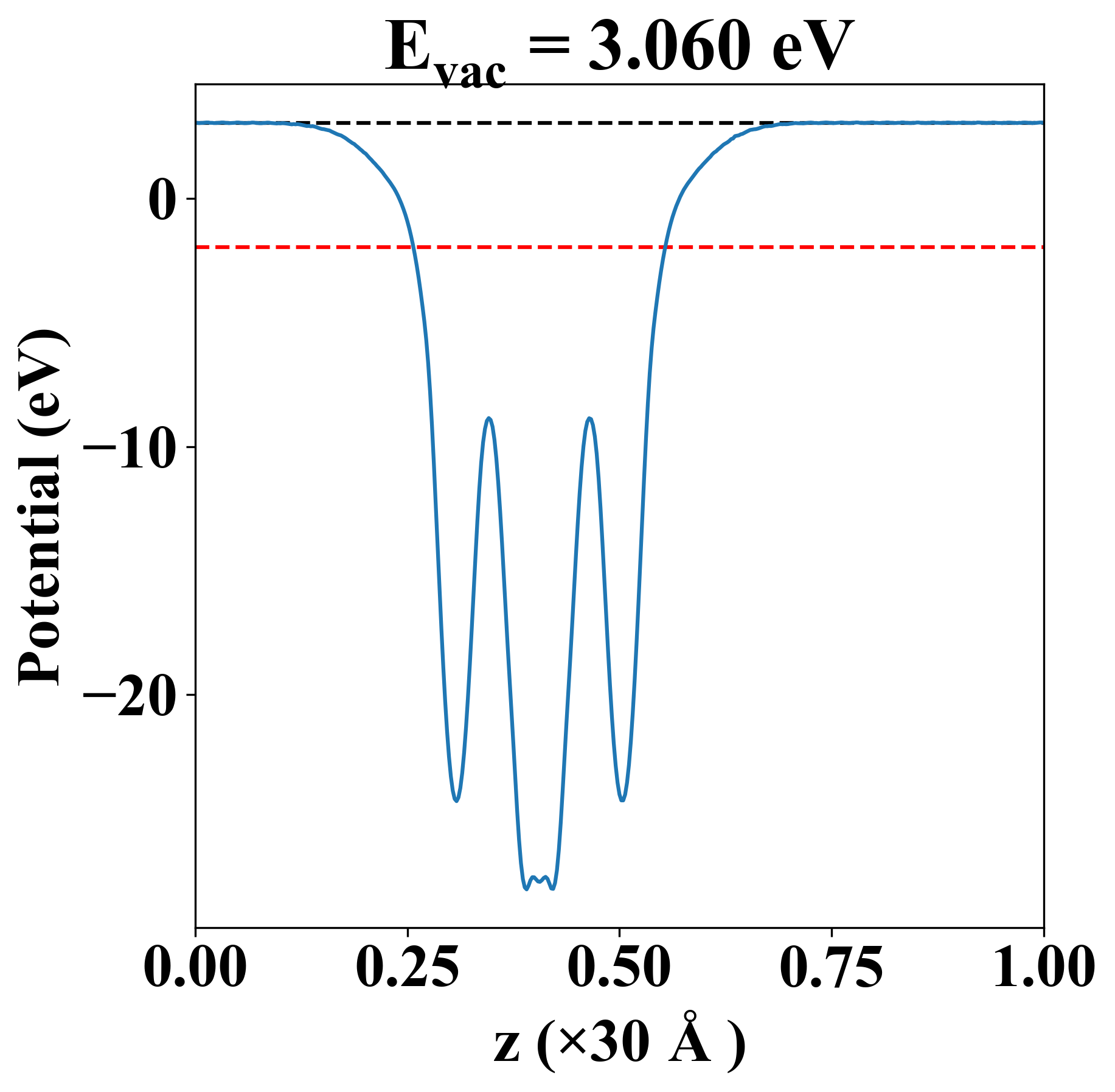
| Vacuum level |
3.060 eV |
| VBM |
-2.309 eV |
| CBM |
-1.671 eV |
| Work function |
5.019 eV |
| Direct gap |
Yes |
| Property |
Value |
| Band gap |
0.59 eV |
| E-fermi |
-1.930 eV |
| VBM |
-2.228 eV |
| CBM |
-1.638 eV |
| Free energy (eV) |
-36.492 |
| Free energy / atom (eV) |
-6.082 |
| Property |
Value |
| Band gap |
0.64 eV |
| E-fermi |
-1.959 eV |
| Vacuum level |
3.060 eV |
| VBM |
-2.309 eV |
| CBM |
-1.671 eV |
| Work function |
5.019 eV |
| Cij (N/m) |
xx |
yy |
xy |
| xx |
136.520 |
38.409 |
0.000 |
| yy |
38.409 |
140.062 |
0.000 |
| xy |
0.000 |
0.000 |
60.881 |
| Phonon mode at Γ point (THz) |
| Property |
Value |
| from where |
JVASP-6268 |