I2N2Sc2
MatHub2d-1529-I2N2Sc2
| Property |
Value |
| Space group |
(59, 'Pmmn') |
| Crystal system |
rectangular |
| Magnetic |
Yes |
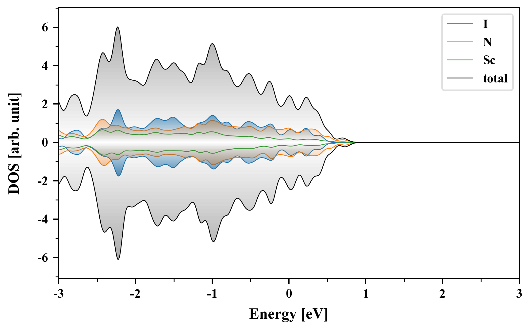
| Band gap (PBE) (eV) |
0.00 |
| Free energy (eV) |
-35.311 |
| Free energy / atom (eV) |
-5.885 |
Lattice Parameters (basic)
| a, b, c (Å): | 3.472 | 4.135 | 30.000 |
| α, β, γ (°): | 90.000 | 90.000 | 90.000 |
Lattice Parameters (computed)
| a, b, c (Å): | 3.646 | 4.125 | 30.000 |
| α, β, γ (°): | 90.000 | 90.000 | 90.000 |
| Property |
Value |
| Band gap |
0.00 eV |
| E-fermi |
-3.191 eV |
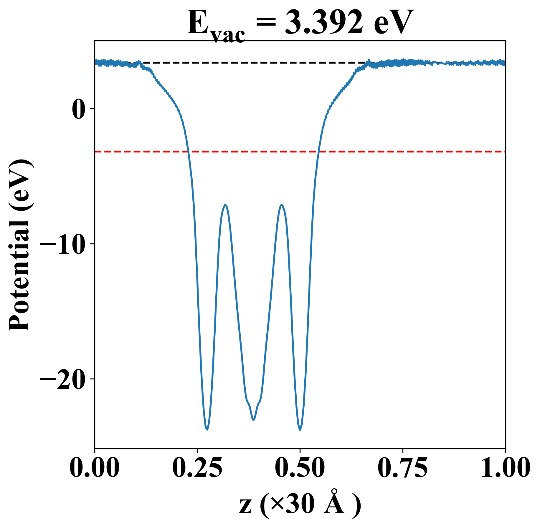
| Vacuum level |
3.392 eV |
| VBM |
-3.191 eV |
| CBM |
-3.191 eV |
| Work function |
6.583 eV |
| Direct gap |
No |
| Property |
Value |
| Band gap |
0.00 eV |
| E-fermi |
-3.191 eV |
| Vacuum level |
3.392 eV |
| VBM |
-3.191 eV |
| CBM |
-3.191 eV |
| Work function |
6.583 eV |
| Cij (N/m) |
xx |
yy |
xy |
| xx |
62.288 |
37.259 |
0.000 |
| yy |
37.259 |
94.058 |
0.000 |
| xy |
0.000 |
0.000 |
11.820 |
| Phonon mode at Γ point (THz) |
| -0.009 |
| -0.006 |
| -0.003 |
| 0.678 |
| 1.031 |
| 1.235 |
| 1.804 |
| 2.142 |
| 3.794 |
| 6.929 |
| 7.091 |
| 7.669 |
| 9.745 |
| 12.084 |
| 12.753 |
| 13.568 |
| 14.021 |
| 15.785 |
| Property |
Value |
| from where |
c2db-348 |