I2N2Rh2
MatHub2d-1527-I2N2Rh2
| Property |
Value |
| Space group |
(59, 'Pmmn') |
| Crystal system |
rectangular |
| Magnetic |
No |
| Band gap (PBE) (eV) |
0.00 |
| Free energy (eV) |
-26.006 |
| Free energy / atom (eV) |
-4.334 |
Lattice Parameters (basic)
| a, b, c (Å): | 3.149 | 4.081 | 30.000 |
| α, β, γ (°): | 90.000 | 90.000 | 90.000 |
Lattice Parameters (computed)
| a, b, c (Å): | 3.109 | 4.094 | 30.000 |
| α, β, γ (°): | 90.000 | 90.000 | 90.000 |
| Property |
Value |
| Band gap |
0.00 eV |
| E-fermi |
-1.172 eV |
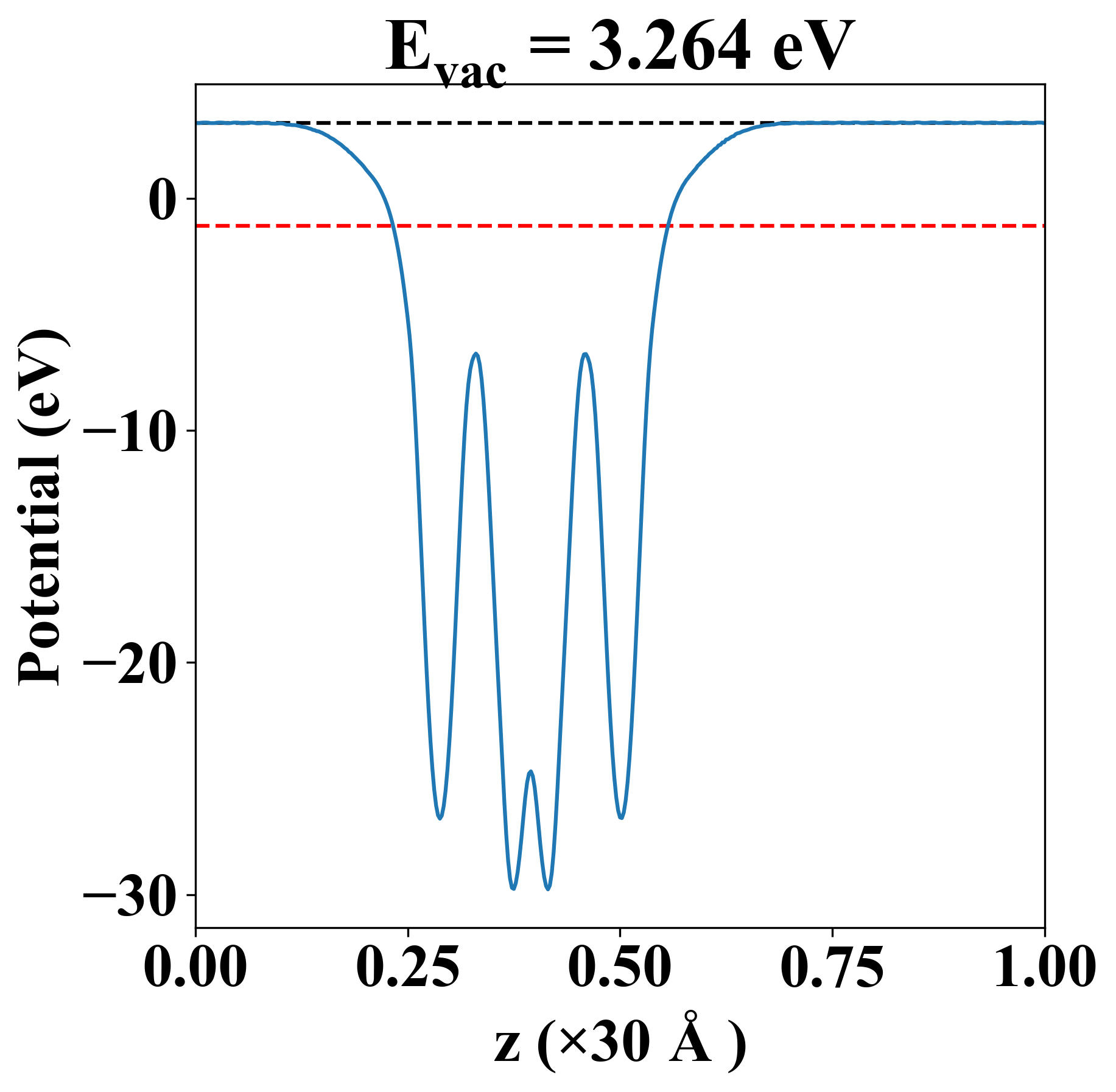
| Vacuum level |
3.264 eV |
| VBM |
-1.176 eV |
| CBM |
-1.171 eV |
| Work function |
4.436 eV |
| Direct gap |
No |
| Property |
Value |
| Band gap |
0.00 eV |
| E-fermi |
-1.172 eV |
| Vacuum level |
3.264 eV |
| VBM |
-1.176 eV |
| CBM |
-1.171 eV |
| Work function |
4.436 eV |
| Cij (N/m) |
xx |
yy |
xy |
| xx |
128.920 |
6.870 |
0.000 |
| yy |
6.870 |
194.513 |
0.000 |
| xy |
0.000 |
0.000 |
11.564 |
| Phonon mode at Γ point (THz) |
| Property |
Value |
| from where |
c2db-320 |