I2N2Pd2
MatHub2d-1525-I2N2Pd2
| Property |
Value |
| Space group |
(59, 'Pmmn') |
| Crystal system |
rectangular |
| Magnetic |
No |
| Band gap (PBE) (eV) |
0.00 |
| Free energy (eV) |
-22.009 |
| Free energy / atom (eV) |
-3.668 |
Lattice Parameters (basic)
| a, b, c (Å): | 3.200 | 4.139 | 30.000 |
| α, β, γ (°): | 90.000 | 90.000 | 90.000 |
Lattice Parameters (computed)
| a, b, c (Å): | 3.161 | 4.116 | 30.000 |
| α, β, γ (°): | 90.000 | 90.000 | 90.000 |
| Property |
Value |
| Band gap |
0.00 eV |
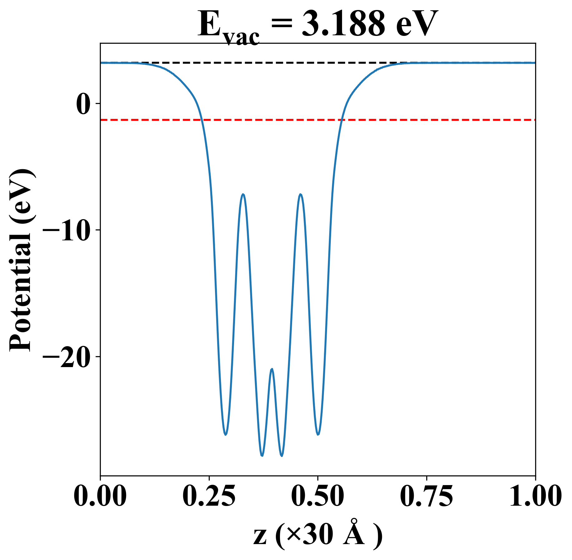
| E-fermi |
-1.326 eV |
| Vacuum level |
3.188 eV |
| VBM |
-1.326 eV |
| CBM |
-1.325 eV |
| Work function |
4.514 eV |
| Direct gap |
No |
| Property |
Value |
| Band gap |
0.00 eV |
| E-fermi |
-1.326 eV |
| Vacuum level |
3.188 eV |
| VBM |
-1.326 eV |
| CBM |
-1.325 eV |
| Work function |
4.514 eV |
| Cij (N/m) |
xx |
yy |
xy |
| xx |
87.324 |
39.467 |
0.000 |
| yy |
39.467 |
155.639 |
0.000 |
| xy |
0.000 |
0.000 |
19.091 |
| Phonon mode at Γ point (THz) |
| Property |
Value |
| from where |
c2db-297 |