I2N2Pb2
MatHub2d-1524-I2N2Pb2
| Property |
Value |
| Space group |
(59, 'Pmmn') |
| Crystal system |
rectangular |
| Magnetic |
No |
| Band gap (PBE) (eV) |
0.00 |
| Free energy (eV) |
-23.426 |
| Free energy / atom (eV) |
-3.904 |
Lattice Parameters (basic)
| a, b, c (Å): | 3.995 | 4.262 | 30.000 |
| α, β, γ (°): | 90.000 | 90.000 | 90.000 |
Lattice Parameters (computed)
| a, b, c (Å): | 4.009 | 4.285 | 30.000 |
| α, β, γ (°): | 90.000 | 90.000 | 90.000 |
| Property |
Value |
| Band gap |
0.00 eV |
| E-fermi |
-3.040 eV |
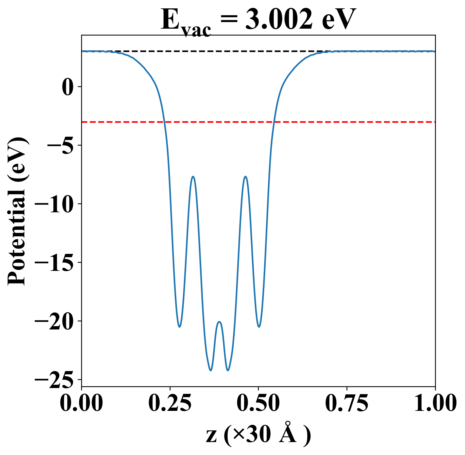
| Vacuum level |
3.002 eV |
| VBM |
-3.050 eV |
| CBM |
-3.039 eV |
| Work function |
6.042 eV |
| Direct gap |
No |
| Property |
Value |
| Band gap |
0.00 eV |
| E-fermi |
-3.040 eV |
| Vacuum level |
3.002 eV |
| VBM |
-3.050 eV |
| CBM |
-3.039 eV |
| Work function |
6.042 eV |
| Cij (N/m) |
xx |
yy |
xy |
| xx |
61.145 |
31.580 |
0.000 |
| yy |
31.580 |
60.837 |
0.000 |
| xy |
0.000 |
0.000 |
28.074 |
| Phonon mode at Γ point (THz) |
| Property |
Value |
| from where |
c2db-285 |