I2N2Ni2
MatHub2d-1523-I2N2Ni2
| Property |
Value |
| Space group |
(59, 'Pmmn') |
| Crystal system |
rectangular |
| Magnetic |
Yes |
| Band gap (PBE) (eV) |
0.00 |
| Free energy (eV) |
-21.842 |
| Free energy / atom (eV) |
-3.640 |
Lattice Parameters (basic)
| a, b, c (Å): | 3.124 | 3.810 | 30.000 |
| α, β, γ (°): | 90.000 | 90.000 | 90.000 |
Lattice Parameters (computed)
| a, b, c (Å): | 3.044 | 3.777 | 30.000 |
| α, β, γ (°): | 90.000 | 90.000 | 90.000 |
| Property |
Value |
| Band gap |
0.00 eV |
| E-fermi |
-1.640 eV |
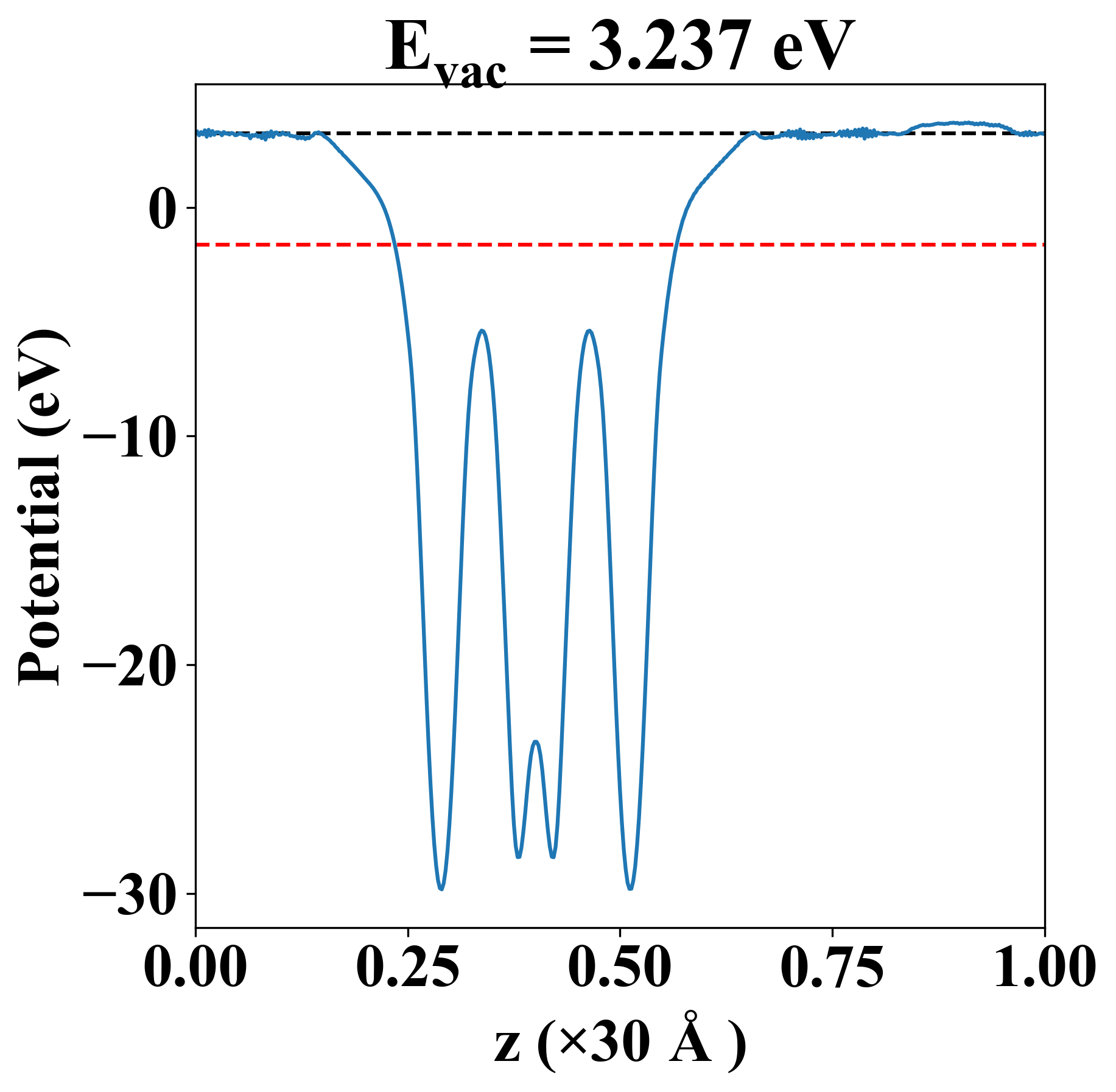
| Vacuum level |
3.237 eV |
| VBM |
-1.642 eV |
| CBM |
-1.639 eV |
| Work function |
4.877 eV |
| Direct gap |
No |
| Property |
Value |
| Band gap |
0.00 eV |
| E-fermi |
-1.640 eV |
| Vacuum level |
3.237 eV |
| VBM |
-1.642 eV |
| CBM |
-1.639 eV |
| Work function |
4.877 eV |
| Cij (N/m) |
xx |
yy |
xy |
| xx |
45.149 |
-24.465 |
0.000 |
| yy |
-24.465 |
121.413 |
0.000 |
| xy |
0.000 |
0.000 |
24.443 |
| Phonon mode at Γ point (THz) |
| Property |
Value |
| from where |
c2db-255 |