I2N2Nb2
MatHub2d-1522-I2N2Nb2
| Property |
Value |
| Space group |
(59, 'Pmmn') |
| Crystal system |
rectangular |
| Magnetic |
No |
| Band gap (PBE) (eV) |
0.00 |
| Free energy (eV) |
-41.262 |
| Free energy / atom (eV) |
-6.877 |
Lattice Parameters (basic)
| a, b, c (Å): | 3.586 | 4.260 | 30.000 |
| α, β, γ (°): | 90.000 | 90.000 | 90.000 |
Lattice Parameters (computed)
| a, b, c (Å): | 3.603 | 4.265 | 30.000 |
| α, β, γ (°): | 90.000 | 90.000 | 90.000 |
| Property |
Value |
| Band gap |
0.00 eV |
| E-fermi |
-0.940 eV |
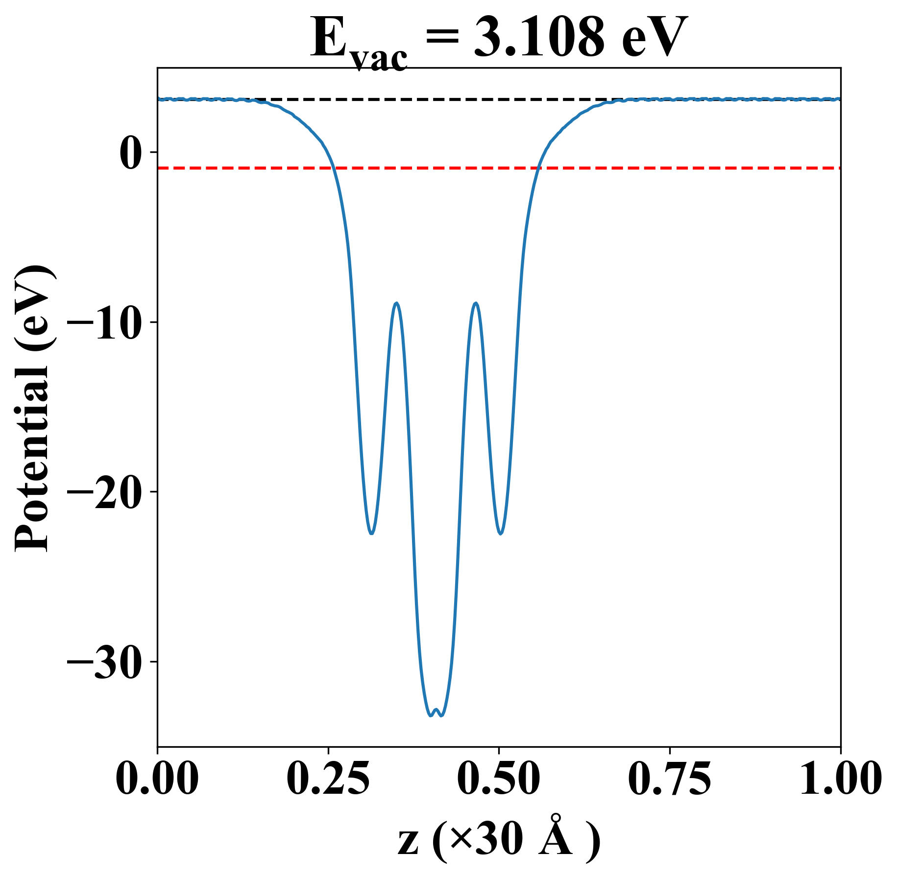
| Vacuum level |
3.108 eV |
| VBM |
-0.940 eV |
| CBM |
-0.939 eV |
| Work function |
4.048 eV |
| Direct gap |
No |
| Property |
Value |
| Band gap |
0.00 eV |
| E-fermi |
-0.940 eV |
| Vacuum level |
3.108 eV |
| VBM |
-0.940 eV |
| CBM |
-0.939 eV |
| Work function |
4.048 eV |
| Cij (N/m) |
xx |
yy |
xy |
| xx |
135.862 |
21.962 |
0.000 |
| yy |
21.962 |
216.208 |
0.000 |
| xy |
0.000 |
0.000 |
38.780 |
| Phonon mode at Γ point (THz) |
| Property |
Value |
| from where |
c2db-245 |