I2Mo2Se2
MatHub2d-1521-I2Mo2Se2
| Property |
Value |
| Space group |
(59, 'Pmmn') |
| Crystal system |
rectangular |
| Magnetic |
Yes |
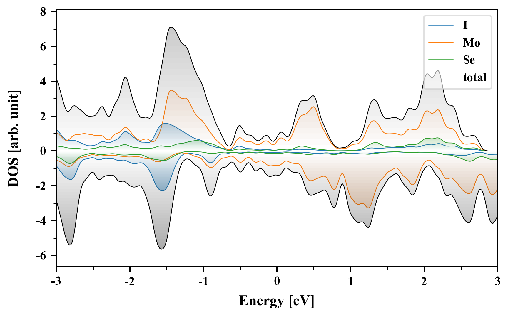
| Band gap (PBE) (eV) |
0.00 |
| Free energy (eV) |
-27.847 |
| Free energy / atom (eV) |
-4.641 |
Lattice Parameters (basic)
| a, b, c (Å): | 3.421 | 4.908 | 30.000 |
| α, β, γ (°): | 90.000 | 90.000 | 90.000 |
Lattice Parameters (computed)
| a, b, c (Å): | 3.816 | 5.050 | 30.000 |
| α, β, γ (°): | 90.000 | 90.000 | 90.000 |
| Property |
Value |
| Band gap |
0.00 eV |
| E-fermi |
-1.856 eV |
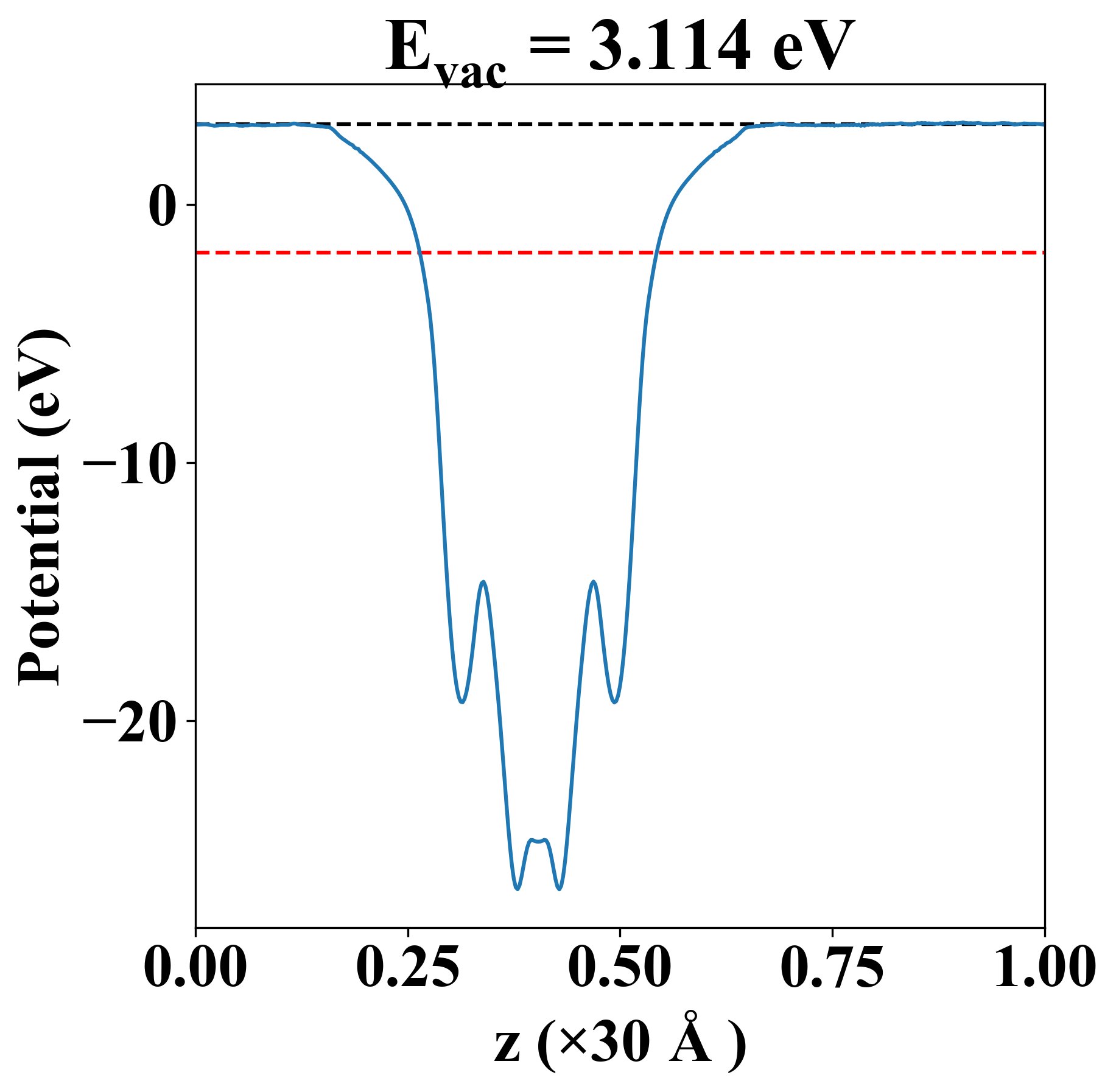
| Vacuum level |
3.114 eV |
| VBM |
-1.857 eV |
| CBM |
-1.856 eV |
| Work function |
4.970 eV |
| Direct gap |
No |
| Property |
Value |
| Band gap |
0.00 eV |
| E-fermi |
-1.856 eV |
| Vacuum level |
3.114 eV |
| VBM |
-1.857 eV |
| CBM |
-1.856 eV |
| Work function |
4.970 eV |
| Cij (N/m) |
xx |
yy |
xy |
| xx |
-15.164 |
-3.939 |
0.000 |
| yy |
-3.939 |
82.278 |
0.000 |
| xy |
0.000 |
0.000 |
14.248 |
| Phonon mode at Γ point (THz) |
| -5.568 |
| -0.008 |
| -0.002 |
| 0.001 |
| 1.839 |
| 1.970 |
| 2.191 |
| 2.231 |
| 3.015 |
| 3.277 |
| 3.427 |
| 3.679 |
| 3.691 |
| 5.216 |
| 5.328 |
| 5.443 |
| 5.748 |
| 6.007 |
| Property |
Value |
| from where |
c2db-236 |