I2Mo2S2
MatHub2d-1520-I2Mo2S2
| Property |
Value |
| Space group |
(59, 'Pmmn') |
| Crystal system |
rectangular |
| Magnetic |
Yes |
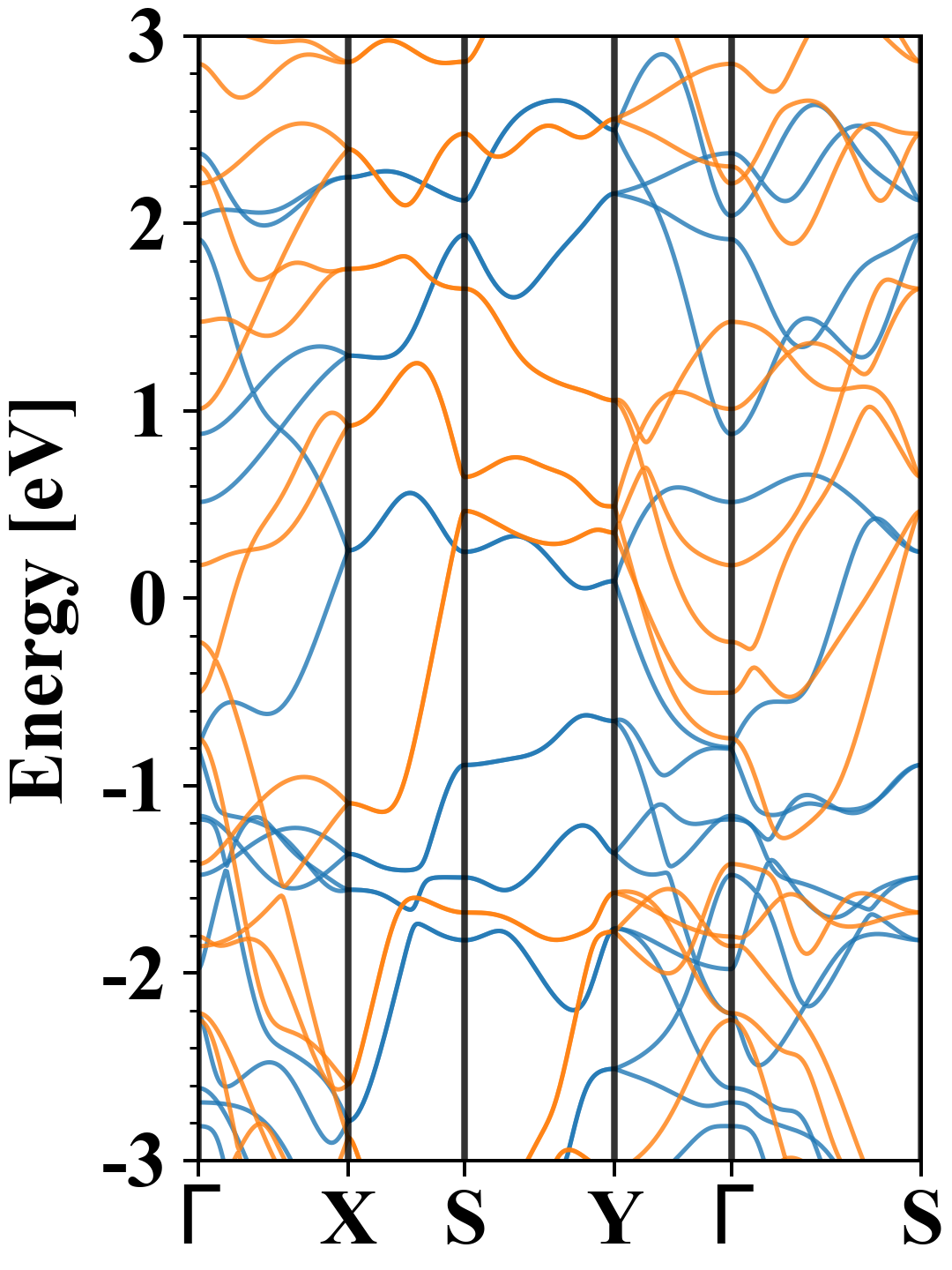
| Band gap (PBE) (eV) |
0.00 |
| Free energy (eV) |
-29.850 |
| Free energy / atom (eV) |
-4.975 |
Lattice Parameters (basic)
| a, b, c (Å): | 3.649 | 4.737 | 30.000 |
| α, β, γ (°): | 90.000 | 90.000 | 90.000 |
Lattice Parameters (computed)
| a, b, c (Å): | 3.731 | 4.798 | 30.000 |
| α, β, γ (°): | 90.000 | 90.000 | 90.000 |
| Property |
Value |
| Band gap |
0.00 eV |
| E-fermi |
-1.757 eV |
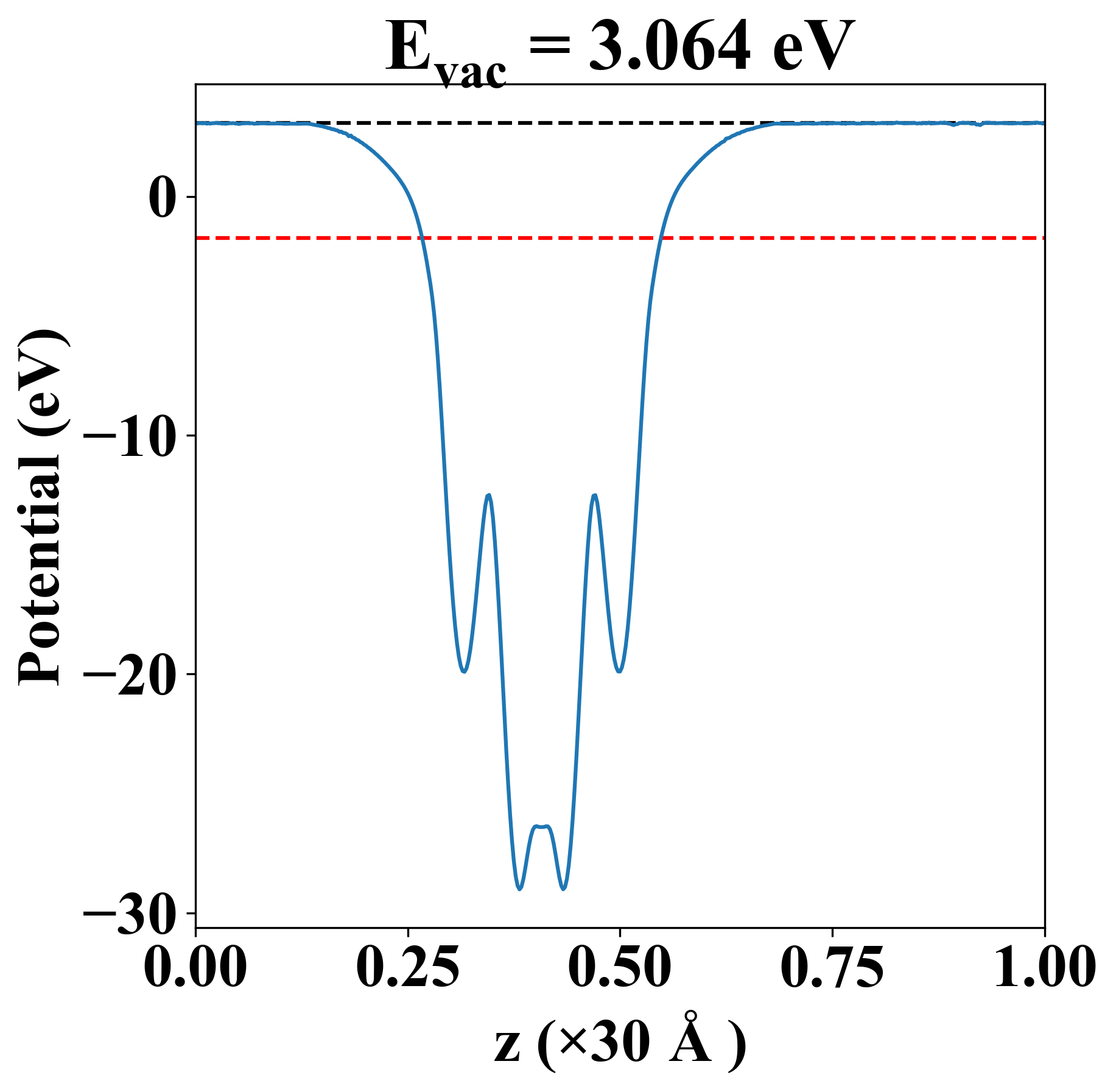
| Vacuum level |
3.064 eV |
| VBM |
-1.758 eV |
| CBM |
-1.755 eV |
| Work function |
4.821 eV |
| Direct gap |
No |
| Property |
Value |
| Band gap |
0.00 eV |
| E-fermi |
-1.757 eV |
| Vacuum level |
3.064 eV |
| VBM |
-1.758 eV |
| CBM |
-1.755 eV |
| Work function |
4.821 eV |
| Cij (N/m) |
xx |
yy |
xy |
| xx |
-15.900 |
-3.354 |
0.000 |
| yy |
-3.354 |
103.640 |
0.000 |
| xy |
0.000 |
0.000 |
16.124 |
| Phonon mode at Γ point (THz) |
| -5.738 |
| -0.012 |
| -0.002 |
| -0.002 |
| 1.415 |
| 1.896 |
| 2.340 |
| 2.571 |
| 3.032 |
| 4.068 |
| 4.273 |
| 4.781 |
| 4.794 |
| 5.229 |
| 6.751 |
| 6.841 |
| 8.694 |
| 8.819 |
| Property |
Value |
| from where |
c2db-234 |